Genel Matematik Final 16. Deneme Sınavı
Toplam 19 Soru1.Soru
fonksiyonunun türevi nedir?
|
|
|
|
|
|
|
|
|
|
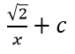
x > 0 olmak üzere f(x) = xr kuvvet fonksiyonunun türevi f'(x) = rxr-1 fonksiyonudur. O halde
f(x) = x3/2 fonksiyonunun türevi
fonksiyonudur. Doğru cevap E'dir.
2.Soru
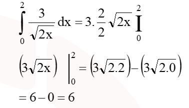
işleminin sonucu nedir?
|
6 |
|
7 |
|
|
|
|
|
|
Kök içi Paydadaki köklü ifadeler için pratik
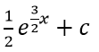
3.Soru
belirsiz integralinin sonucu nedir?
|
|
|
|
|
|
|
|
|
|
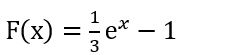
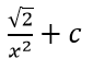
4.Soru
belirsiz integralinin sonucu nedir?
|
|
|
|
|
|
|
|
|
|
Üstel fonksiyon kuralı
5.Soru
matrisleri için A.B matrisi aşağıdakilerden hangisidir?
|
|
|
|
|
|
|
|
6.Soru
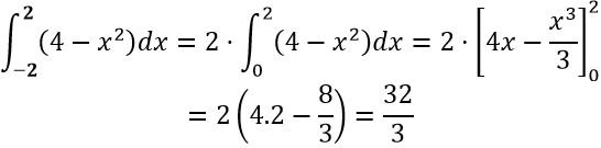
f(x)=4-x2 eğrisinin altında, x ekseninin üstünde x=-2, x=2 doğruları arasında kalan bölgenin alanı aşağıdakilerden hangisidir?
|
8/3 |
|
1/3 |
|
22/3 |
|
8 |
|
32/3 |
7.Soru
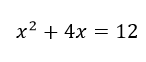
denkleminin çözüm kümesi nedir?
|
{-2,2} |
|
{-6,2} |
|
{0,4} |
|
{-1,1} |
|
0 |
tam kare yaparsak buradan sonuç {-4,4}
elde edilir.
8.Soru
A={1,2,3,4} ve B={5,7,9,11} ise B?A kümesi aşağıdakilerden hangisidir?
|
{1,2,3,4,5,7,9,11} |
|
{1,2,3,4} |
|
Ø |
|
{5,7,9,11} |
|
{1,4,5,9 } |
B ve A kümelerinin ortak elemanı olmadığından B?A=Ø olarak elde edilir.
9.Soru
Bir bankadan %1.65 aylık faiz oranı ve 18 ay vade ile 12000 TL tüketici kredisi çekilirse, aylık geri ödeme taksitleri kaç TL olur?
|
740 |
|
760 |
|
780 |
|
800 |
|
820 |
Borç amortismanı formülünde n=18, r=0,0165 ve A=12000 alınırsa, aylık taksitler
olarak hesaplanır.
10.Soru
Aşağıdaki aralıkların hangisinde f(x)=x(x-4) fonksiyonu azalandır?
|
(-1,4)
|
|
(0,3)
|
|
(2,4)
|
|
(5,7)
|
|
(0,1)
|
11.Soru
120 kilo olan bir adam düzenli spor yaparak 90 kiloya düştüğüne göre bu adam yüzde kaç kilo kaybetmiştir?
|
25 |
|
20 |
|
15 |
|
10 |
|
5 |
Adam 120 kilo olup 90 kiloya düştüğü için 120-120*x/100=90 eşitliğinden (6/5)*x=30 olup x=25 bulunur. Yani kilosunun %25 ini vermiştir. Doğru yanıt A seçeneğidir.
12.Soru
lnx=a ise ln10.log(x^5 ) neye eşittir?
|
a/5
|
|
a/2
|
|
2a
|
|
5a
|
|
a
|
13.Soru
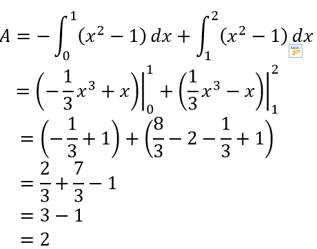
Yandaki şekildeki taralı alan kaç
dir.
|
|
|
|
|
|
|
|
|
|
İstenen alanı hesaplamak için fonksiyonun negatif ve pozitif olduğu aralıklara dikkat edelim. Fonksiyon
aralığında negatif olduğundan bu aralıkta ortaya çıkan alan integralinin -1 katı olacaktır.
aralığında ise fonksiyon pozitif olduğundan bu aralıkta ortaya çıkan alan integraline eşittir. Böylece
elde edilir. Doğru cevap B seçeneğidir.
14.Soru
Matrisinin a33 elemanı aşağıdakilerden hangisidir?
|
7 |
|
9 |
|
11 |
|
12 |
|
15 |
3. Satır 3. Sütun elamanına bakıldığında bunun 11 olduğu görülür.
15.Soru
3x-2y=62x-4y=4 denklem sistemini yok etme methodu ile çözünüz?
|
(2,0)
|
|
(0,2)
|
|
(3,1)
|
|
(1,3)
|
|
(0,-2)
|
16.Soru
f(x)=(x^2+1)^3 ise x=1 noktasında fonksiyonun ikinci türevi nedir?
|
48
|
|
64
|
|
24
|
|
72
|
|
8
|
18.Soru
Bir bankadan aylık %0,95 faiz oranıyla 36 ay vade ile çekilen 8000 liranın geri ödeme aylık taksitleri kaç lira olur?
|
680,21
|
|
705,54
|
|
790,11
|
|
810,56
|
|
852,32
|
19.Soru
3 kg elma ile 5 kg mandalinanın fiyatı 47 tldir. Elmanın fiyatı mandalinanın fiyatının iki katından 1 tl fazladır. Elmanın kilosu ne kadardır ?
|
4
|
|
5
|
|
6
|
|
8
|
|
9
|
-
- 1.SORU ÇÖZÜLMEDİ
- 2.SORU ÇÖZÜLMEDİ
- 3.SORU ÇÖZÜLMEDİ
- 4.SORU ÇÖZÜLMEDİ
- 5.SORU ÇÖZÜLMEDİ
- 6.SORU ÇÖZÜLMEDİ
- 7.SORU ÇÖZÜLMEDİ
- 8.SORU ÇÖZÜLMEDİ
- 9.SORU ÇÖZÜLMEDİ
- 10.SORU ÇÖZÜLMEDİ
- 11.SORU ÇÖZÜLMEDİ
- 12.SORU ÇÖZÜLMEDİ
- 13.SORU ÇÖZÜLMEDİ
- 14.SORU ÇÖZÜLMEDİ
- 15.SORU ÇÖZÜLMEDİ
- 16.SORU ÇÖZÜLMEDİ
- 17.SORU ÇÖZÜLMEDİ
- 18.SORU ÇÖZÜLMEDİ
- 19.SORU ÇÖZÜLMEDİ