aof.sorular.net
Genel Matematik
Genel Matematik Deneme Sınavı
Genel Matematik Deneme Sınavı Sorusu #398687
Genel Matematik Deneme Sınavı Sorusu #398687
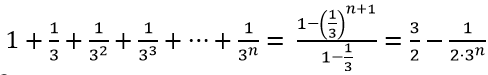
Bir tam adım attıktan sonra her adımımız bir öncekinin üçte biri kadar olursa en fazla kaç adım ilerleyebiliriz?
|
5,5 |
|
4,5 |
|
3,5 |
|
2,5 |
|
1,5 |
Yanıt Açıklaması:
Her adımımız bir önceki adımın üçte biri kadar olduğuna göre n+1 adım sonra
adım ilerlemiş oluruz.
Bu sayı 3/2’den küçük olduğundan bu kurala göre kaç adım atarsak atalım en fazla 1,5 adım ilerleyebiliriz. Doğru cevap E'dir.
Yorumlar
- 0 Yorum