Genel Matematik Final 20. Deneme Sınavı
Toplam 19 Soru1.Soru
Bir sayının %36'sı ile %42'si toplamı 39 olduğuna göre bu sayı aşağıdakilerden hangisidir?
|
200
|
|
30
|
|
50
|
|
40
|
|
100
|
2.Soru
Bir esnaf 10000 TL parasının %60'ı ile fiyatı 3 TL olan bir maldan belli bir miktar alıyor. Bir ay sonra malın fiyatı 5 TL oluyor. Kalan parası ile fiyatı 4 TL olan başka maldan bir mikktar alıyor. Bir ay sonra bu malın fiyatı 6 TL oluyor. Bu esnaf bir ay sonunda yüzde kaç kar elde etmiştir?
|
20 |
|
40 |
|
60 |
|
80 |
|
90 |
Bu esnaf parasının %60'ı 10000.60/100=6000 dir. Bu miktar ile 3TL olan maldan 6000/3 = 2000 tane, kalan 4000 TL’si ile fiyatı 4 TL olan maldan 4000/4 = 1000 almıştır. Bir ay sonra ilk malın toplam değeri 2000 . 5 =10000 TL ye ikinci malın toplam değeri 1000 . 6 = 6000 TL ulaşır. Yani toplam parası 16000 TL olur. Bu esnafın karı 6000 TL dir. Yani %60 kar elde etmiştir.
3.Soru
Aylık enflasyon oranının %2,1 olduğu bir ülkede yıllık faiz oranı nedir?
|
21 |
|
24 |
|
28 |
|
31 |
|
34 |
Enflasyon da aynen faiz mantığı ile çalışır. Faizin ne kadar getirisi varsa enflasyonunda o kadar götürüsü vardır. Yıllık enflasyon oranı Pn-1 formülü ile bulunur. Burada Pn=P(1+r)n bileşik faiz oranı olup, P=1 yatırılan para olsun, r=0,0021 dönemlik faiz oranı, n=12 ay paranın kalacağı dönemdir. Böylece
Pn-1=P(1+r)n-1=(1+0,021)12 -1=0,28
olarak bulunur.
5.Soru
3x+y=92x-2y=-2 denklem sisteminin çözümü aşağıdakilerden hangisidir?
|
x=2, y=3
|
|
x=3, y=2
|
|
x=1, y=3
|
|
x=2, y=1
|
|
x=2, y=5
|
6.Soru
Bir tam adım attıktan sonra her adımımız bir öncekinin üçte biri kadar olursa en fazla kaç adım ilerleyebiliriz?
|
5,5 |
|
4,5 |
|
3,5 |
|
2,5 |
|
1,5 |
Her adımımız bir önceki adımın üçte biri kadar olduğuna göre n+1 adım sonra
adım ilerlemiş oluruz.
Bu sayı 3/2’den küçük olduğundan bu kurala göre kaç adım atarsak atalım en fazla 1,5 adım ilerleyebiliriz. Doğru cevap E'dir.
7.Soru
f(x)=x^2-3x fonksiyonunun birinci mertebeden türevinin x=2 noktasındaki değeri kaçtır?
|
-1
|
|
1
|
|
-2
|
|
2
|
|
0
|
8.Soru
fonksiyonu f(x)=2x+1 kuralı ile veriliyor. [0,1] aralığının
noktalarından oluşan bölüntüsüne göre Riemann toplamı aşağıdakilerden hangisidir?
|
3/4 |
|
5/9 |
|
9/4 |
|
2 |
|
5/4 |
Bölüntümüz
noktalarından oluştuğu için aslında
aralıkları söz kousudur. Aralıkların boyları birbirine eşit ve 1/4 kadardır. Soruda Riemann toplamı sorulduğundan fonksiyonun bu alt aralıkların sağ uç noktalarında aldığı değerler dikkate alınır. Dolayısıyla Riemann toplamı
olarak bulunur.
9.Soru
Bir bankadan %1.20 aylık faiz oranı ve 8 ay vadeyle 10000 TL kredi çekilirse aylık geri ödeme taksidi ne olur?
|
1,23 |
|
1,12 |
|
120 |
|
32 |
|
1320 |
Doğru cevap E seçeneğidir.
10.Soru
Bir sayının %10’u ile %25’inin toplamı 63 olduğuna göre bu sayı aşağıdakilerden hangisidir?
|
60 |
|
90 |
|
180 |
|
210 |
|
240 |
Aranılan sayı ile gösterilsin. Bu sayının %10’u 10x/100 ve %25’i 25x/100 olduğundan bunların toplamı (10x+25x)/100=35x/100=63 olur ve buradan x=100.63/35=180 elde edilir.
11.Soru
Etiket fiyatı 40Tl. olan bir kitap %25 indirimle satılıyor. Bu durumda %20 kar edildiğine göre kitabın alış fiyatı nedir?
|
25
|
|
35
|
|
15
|
|
10
|
|
45
|
12.Soru
Yıllık %30 bileşik faiz oranıyla bankaya yatırılan 50.000 lira kaç yıl sonra 109.850 liraya ulaşır?
|
1 |
|
2 |
|
3 |
|
4 |
|
5 |
eşitliğinden,
olup t=3 elde edilir. Başka bir değişle
Bileşik faize yatırılan paranın son teslim anında kaç lira olacağı
Baliğ = anapara. (1+dönemlik faiz)dönem sayısı
formülü ile hesaplanmaktadır. Bu soruda anapara 50000 TL, dönemlik faiz %30 yani 0,3, ve baliğ 109850 TL dir. Dönem sayısı sorulduğundan işlemleri yaparsak,
Baliğ = anapara. (1+dönemlik faiz)dönem sayısı
109850 = 50000 (1+0,3)ddenkleminden d hesaplanmalıdır. Buradan, 2,197 =1,3d eşitliğinden dönem sayısı d=3 olarak hesaplanır. Doğru yanıt C seçeneğidir.
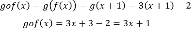
13.Soru
ve
olduğuna göre gof fonksiyonu aşağıdakilerden hangisidir?
|
3x-1 |
|
3x+1 |
|
3x |
|
4x-1 |
|
4x+1 |
olur. Bu nedenle doğru yanıt B seçeneğidir.
14.Soru
F(x)=-4x/(1-4x) fonksiyonunun azalan olduğu aralık hangisidir?
|
IR
|
|
(-4,4)
|
|
(4,4)
|
|
(4,-4)
|
|
(-4,8)
|
15.Soru
2x+5y=5/3-x+2y=2/3denklem sisteminin çözümünde y aşağıdakilerden hangisidir?
|
1/9 |
|
9 |
|
1/3 |
|
2/3 |
|
3 |
Doğru cevap C'dir.
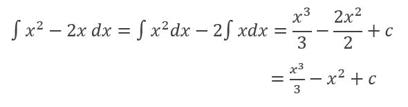
16.Soru
belirsiz integralinin sonucu nedir?
|
|
|
|
|
|
|
|
|
|
Bu integrali alabilmek için izlenecek yöntemlerden biri:
17.Soru
olmak üzere üstten y=x+1 doğrusu, alttan y=x2+1 eğrisi ile sınırlı bölgenin alanı aşağıdakilerden hangisidir?
|
3 |
|
5/6 |
|
1/6 |
|
1/3 |
|
1/2 |
Aranan bölgenin alanı;
ile hesaplanır. O halde,
olarak bulunur.
18.Soru
değeri aşağıdakilerden hangisidir?
|
84 |
|
72 |
|
68 |
|
52 |
|
45 |
sadeleşir.
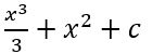
19.Soru
|
|
|
x3-x2+c |
|
x3+x2+c |
|
|
|
|
Gerekli kurallar kullanılarak
elde edilir.
-
- 1.SORU ÇÖZÜLMEDİ
- 2.SORU ÇÖZÜLMEDİ
- 3.SORU ÇÖZÜLMEDİ
- 4.SORU ÇÖZÜLMEDİ
- 5.SORU ÇÖZÜLMEDİ
- 6.SORU ÇÖZÜLMEDİ
- 7.SORU ÇÖZÜLMEDİ
- 8.SORU ÇÖZÜLMEDİ
- 9.SORU ÇÖZÜLMEDİ
- 10.SORU ÇÖZÜLMEDİ
- 11.SORU ÇÖZÜLMEDİ
- 12.SORU ÇÖZÜLMEDİ
- 13.SORU ÇÖZÜLMEDİ
- 14.SORU ÇÖZÜLMEDİ
- 15.SORU ÇÖZÜLMEDİ
- 16.SORU ÇÖZÜLMEDİ
- 17.SORU ÇÖZÜLMEDİ
- 18.SORU ÇÖZÜLMEDİ
- 19.SORU ÇÖZÜLMEDİ