aof.sorular.net
Genel Matematik
Genel Matematik Deneme Sınavı
Genel Matematik Deneme Sınavı Sorusu #478814
Genel Matematik Deneme Sınavı Sorusu #478814
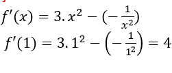
ise f'(1) değeri nedir?
|
2 |
|
3 |
|
4 |
|
6 |
|
8 |
Yanıt Açıklaması:
Yorumlar
- 0 Yorum