Genel Matematik Final 21. Deneme Sınavı
Toplam 20 Soru1.Soru
ve
ise 2A+B matrisi aşağıdakilerden hangisidir?
|
|
|
|
|
|
|
|
|
|
olduğuna göre
elde edilir. Doğru cevap B'dir.
3.Soru
lim ( x^3-3x-7 ) limit değeri nedir?x-->1
|
-1
|
|
-3
|
|
-5
|
|
-7
|
|
-9
|
4.Soru
8 bin lira %25 ten bileşik faiz ile bir bankaya yatırılısa 1 yıl sonra ne kadar faiz alınır?
|
1
|
|
2
|
|
3
|
|
4
|
|
5
|
5.Soru
Bir bankadan %1,54 aylık faiz oranı ve 48 ay vade ile 20000 TL tüketici kredisi çekilirse, aylık geri ödeme taksitleri ne kadar olur?
|
552,55 |
|
572,55 |
|
592,55 |
|
612,55 |
|
632,55 |
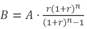
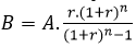
borç amortismanı formülünde n=48, r=0,0154, A=20000 değerleri kullanılarak
bulunur. Doğru cevap C'dir.
6.Soru
f(x)=3x^3-5x+7 fonksiyonunun x=-1 noktasındaki ikinci mertebeden türevi nedir?
|
-1
|
|
5
|
|
-15
|
|
-18
|
|
9
|
7.Soru
20000 TL tasarruf bir bankada 24 ay değerlendirildiğinde 24 ay sonunda tasarrufun ulaşacağı değer 24200 TL olduğuna göre bankanın uyguladığı yıllık bileşik faiz oranı nedir?
|
% 9
|
|
% 10
|
|
% 11
|
|
%12
|
|
%13
|
8.Soru
denklem sisteminin genişletilmiş matrisi nedir?
|
|
|
|
|
|
|
|
|
|
Verilen denklem sisteminin genişletilmiş matrisi
matrisidir.
9.Soru
10000 lirasını %5 bileşik faizle 4 yıllığına bankaya yatıran birisinin 4 yıl sonunda yaklaşık olarak ne kadar parası olur?
|
55000 |
|
56000 |
|
57000 |
|
58000 |
|
59000 |
TL'si olur.
10.Soru
2x-y=5 doğrusu ile 3x+2y=-6 doğrusunun kesişim noktası aşağıdakilerden hangisidir?
|
(4/7, -27/7) |
|
(-4/7, 27/7) |
|
(1/7, -6/7) |
|
(-1/7, 6/7) |
|
(4/7, 27/7) |
Bu doğru denklemlerini ortak çözülürse:
olduğundan x=4/7 ve bu değer denklemlerden birinde yerine konarak y=-27/7 elde edilir. Doğru cevap A'dır.
11.Soru
20000 TL tasarruf % 15 yıllık bileşik faizle bankaya yatırıldığında, tasarrufun 2 yıl sonraki değeri ne olur?
|
26450 TL
|
|
26550 TL
|
|
26650 TL
|
|
26750 TL
|
|
26850 TL
|
12.Soru
Bir bankadan %1,5 aylık faiz oranı ve 12 ay vade ile 10.000TL ihtiyaç kredisi çeken bir kişi geri ödemelerinde aylık ne kadar öder?
|
150 |
|
152,25 |
|
525,5 |
|
917 |
|
1000 |
Geri ödeme borç amortismanı formülünde
verilenler yerine yazılırsa; n=12 r=0,015 A=10000 için
B= 916,56 = 917 olur.
13.Soru
Bir tüpteki bakteri miktarı çoğalarak her bir günün sonunda üç katına çıkmaktadır. Bakterilerin 10. günün sonunda tüpün üçte birini doldurduğu bilindiğine göre, tüpün tamamını kaç günde doldururlar?
|
11
|
|
21
|
|
30
|
|
33
|
|
100
|
14.Soru
Bir sınıftaki öğrenciler sıralara 4’er 4’ er otururlarsa 6 öğrenci ayakta kalıyor. 5’ er 5’er otururlarsa 2 sıra boş kalıyor. Bu sınıfta kaç öğrenci vardır?
|
40 |
|
50 |
|
60 |
|
70 |
|
80 |
Öğrenci sayısı x sıra sayısı y olsun. Bu durumda, x=4y+6=5(y-2) denklemleri elde edilir. Son iki denklem çözülürse sıra sayısı y=16 olur. Öğrenci sayısı x=4.16+6=70 bulunur.
15.Soru
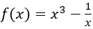
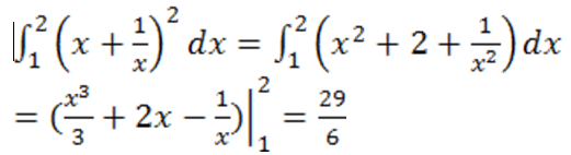
ise f'(1) değeri nedir?
|
2 |
|
3 |
|
4 |
|
6 |
|
8 |
16.Soru
ise 2A matrisi aşağıdakilerden hangisidir?
|
|
|
|
|
|
|
|
|
|
Bir matrisi herhangi bir katsayı ile çarpmak demek o matrisin satır ve sütunlarındaki tüm elemanları bu katsayı ile çarpmak demektir. Bu durumda
olur.
17.Soru
f(x)=x2-6 fonksiyonunun artışının hızlandığı aralık aşağıdakilerden hangisidir?
|
(-1, ∞) |
|
(1, ∞) |
|
(-3, ∞) |
|
(3, ∞) |
|
(-1, 3) |
f'(x)=2x-6 olur. Birinci mertebeden türev x>3 iken pozitif, x<3 iken negatiftir. İkinci mertebeden türev f''(x)=2 olup her zaman pozitiftir. Dolayısıyla (3, ∞) aralığında artış hızlanır.
18.Soru
f(x)=-x³+2x²+1 fonksiyonu için f''(1/2) değeri aşağıdakilerden hangisidir?
|
0
|
|
1
|
|
-1
|
|
2
|
|
-2
|
20.Soru
Artan fonksiyonun tanımı aşağıdakilerden hangisidir?
|
a < b iken f (a) > f (b) oluyorsa f (x) fonksiyonuna artan fonksiyon denir.
|
|
a < b iken f (a) < f (b) oluyorsa f (x) fonksiyonuna artan fonksiyon denir.
|
|
a < b iken f (a) = f (b) oluyorsa f (x) fonksiyonuna artan fonksiyon denir.
|
|
a > b iken f (a) < f (b) oluyorsa f (x) fonksiyonuna artan fonksiyon denir.
|
|
a = b iken f (a) < f (b) oluyorsa f (x) fonksiyonuna artan fonksiyon denir.
|
-
- 1.SORU ÇÖZÜLMEDİ
- 2.SORU ÇÖZÜLMEDİ
- 3.SORU ÇÖZÜLMEDİ
- 4.SORU ÇÖZÜLMEDİ
- 5.SORU ÇÖZÜLMEDİ
- 6.SORU ÇÖZÜLMEDİ
- 7.SORU ÇÖZÜLMEDİ
- 8.SORU ÇÖZÜLMEDİ
- 9.SORU ÇÖZÜLMEDİ
- 10.SORU ÇÖZÜLMEDİ
- 11.SORU ÇÖZÜLMEDİ
- 12.SORU ÇÖZÜLMEDİ
- 13.SORU ÇÖZÜLMEDİ
- 14.SORU ÇÖZÜLMEDİ
- 15.SORU ÇÖZÜLMEDİ
- 16.SORU ÇÖZÜLMEDİ
- 17.SORU ÇÖZÜLMEDİ
- 18.SORU ÇÖZÜLMEDİ
- 19.SORU ÇÖZÜLMEDİ
- 20.SORU ÇÖZÜLMEDİ