aof.sorular.net
Genel Matematik
Genel Matematik Deneme Sınavı
Genel Matematik Deneme Sınavı Sorusu #464915
Genel Matematik Deneme Sınavı Sorusu #464915
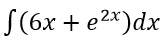
sonucu aşağıdakilerden hangisidir?
|
3x2+ 1/2 e2x+c |
|
3x2+c |
|
2x e2x+c |
|
6x2+e2x+c |
|
x+ e3x+c |
Yanıt Açıklaması:
Toplam formülü, üstel fonksiyonun integrali ve kuvvet kuralından
Yorumlar
- 0 Yorum