Genel Matematik Final 26. Deneme Sınavı
Toplam 20 Soru1.Soru
Ortak çarpanı 3 ve ilk terimi 5 olan bir geometrik dizinin ilk 4 teriminin toplamı kaçtır?
|
200 |
|
225 |
|
250 |
|
275 |
|
300 |
Dizimizin ilk 4 terimi 5, 15, 45, 135 olur. Dolayısıyla ilk 4 teriminin toplamı 5+15+45+135=200 olur.
Ya da formüle göre
olur.
2.Soru
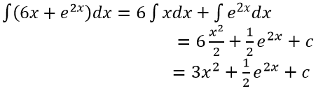
sonucu aşağıdakilerden hangisidir?
|
3x2+ 1/2 e2x+c |
|
3x2+c |
|
2x e2x+c |
|
6x2+e2x+c |
|
x+ e3x+c |
Toplam formülü, üstel fonksiyonun integrali ve kuvvet kuralından
3.Soru
f(t)=12t+5 kuralı ile hareket eden bir cismin [2, 1] aralığındaki ortalama hızı nedir?
|
5
|
|
12
|
|
17
|
|
29
|
|
6
|
4.Soru
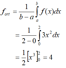
fonksiyonunun ortalama değeri nedir?
|
1 |
|
4 |
|
2 |
|
5 |
|
3 |
Ortalama değer formülünden,
olarak bulunur.
5.Soru
f(x)=(2x-1)^2 fonksiyonunun x = 1 noktasındaki anlık hızı aşağıdakilerden hangisidir?
|
8 |
|
7 |
|
6 |
|
5 |
|
4 |
x =1 noktasındaki anlık hızı, o noktadaki türev olduğundan bileşke fonksiyonun türevi kuralından, f'(x)=2.(2x-1).2=8x-4 ifadesiden f'(1)=8.1-4=4 elde edilir. Doğru cevap E'dir.
6.Soru
4x - (x+1) = 2x denkleminin çözümü aşağıdakilerden hangisidir?
|
5
|
|
4
|
|
3
|
|
1
|
|
2
|
7.Soru
Bir bankanın aylık faiz oranı %1,6 ise yıllık faiz oranı aşağıdakilerden hangisidir?
|
%21
|
|
%20
|
|
%19
|
|
%18
|
|
%17
|
8.Soru
60 kuruşa alınan bir kalem 75 kuruşa satılırsa yüzde kaç kâr elde edilir?
|
25
|
|
20
|
|
15
|
|
10
|
|
5
|
9.Soru
Karesinin iki katı kendisinin 8 katına eşit olan pozitif sayı aşağıdakilerden hangisidir?
|
8
|
|
7
|
|
6
|
|
5
|
|
4
|
10.Soru
Aylık enflasyon oranının % 0,5 olduğu bir ülkede yıllık enflasyon oranı nedir?
|
4 |
|
6 |
|
8 |
|
10 |
|
12 |
Enflasyon da faiz gibi işlemektedir. Faizin ne kadar getirisi varsa enflasyonun da o kadar götürüsü olur. n geçen süre, r enflasyon oranı, Pn de bunlara bağlı olarak elde edilen enflasyon oranını temsil etmek üzere Pn=P(1+r)n formülü , P=1, r=0,005 ve n=12 alarak kullanılabilir. Burada P12-1 yıllık enflasyon oranı olur. P12-1=(1+0,005)12 -1=0,06 elde edilir. Yani yıllık enflasyon oranı %6 olur.
11.Soru
İki kardeşten birinin yaşı diğerinin yaşının 2 katından 4 fazladır. 4 yıl sonra bu iki kardeşin yaşları toplamı 30 olduğuna göre küçük kardeşin yaşı kaçtır?
|
4 |
|
6 |
|
8 |
|
10 |
|
16 |
Küçük kardeşin yaşı x olsun. Buna göre büyük kardeşin yaşı 2x+4 olur. 4 yıl sonra bu iki kardeşin yaşları toplamı
12.Soru
∫(x^2+x+1)(2x+1)dx integralini hesaplayınız.
|
(x^2+x+1)^2/2 +c
|
|
(x^2+2x)^2 +c
|
|
x^2+2x+c
|
|
(x^2+x^+1)/2 +c
|
|
x^3/3+3x^2/2+2x+c
|
13.Soru
x2+4x+13=0 denkleminin çözüm kümesi aşağıdakilerden hangisidir?
|
{-5,1} |
|
{1,2} |
|
{-1,5} |
|
{-2,2} |
|
Ø |
x2+4x+13=0 denklemini çözmek için ? yı hesaplayalım:
?=b2-4ac=16-4•1•(13)=-36
?<0 olduğundan gerçel kök yoktur.
14.Soru
Dörtte biri ile üç katının toplamından 5 çıkarıldığında kendisinin 2 katı olan sayı aşağıdakilerden hangisidir?
|
-4 |
|
-2 |
|
0 |
|
2 |
|
4 |
15.Soru
Yıllık enflasyon oranı %20 olan bir ülkede memur maaşlarına yıllık %10 zam uygulanıyor. Buna göre 1 yıl sonunda memurun bütçesindeki yaklaşık değer kaybı yüzde kaç olur?
|
4 |
|
6 |
|
8 |
|
10 |
|
12 |
Memur maaşı 100 TL olsun. Memur bu maaşla 100 TL’lik mal alabilir. 1 yıl sonundaki enflasyon %20 ise 100 TL’lik mal 120 TL olur. Yani malların maliyeti 120 TL’dir. Memura verilen zam %10 ise yıllık 100 TL, 110 TL olarak ifade edilir ve bir yılın sonunda 120-110=10 TL eksik zam gelmiş olur. Buna göre parası 1 yıl sonundaki fiyatlara göre 10/120 yaklaşık %8 değer kaybına uğrar.
16.Soru
Bir bankanın aylık faiz oranı %1,5 ise yıllık faiz oranı aşağıdakilerden hangisidir?
|
%19
|
|
%20
|
|
%21
|
|
%22
|
|
%23
|
17.Soru
Bir satıcı elindeki portakalları kasalara koyuyor. Her kasaya 15 portakal koyarsa elinde 10 portakal kalıyor. Her kasaya 20 portakal koyarsa 1 kasa boş kalıyor. Buna göre kasa sayısı kaçtır?
|
4 |
|
5 |
|
6 |
|
7 |
|
8 |
Kasa sayısına x dersek;
15.x + 10 = 20.(x-1) denkleminden
X=6 kasa sayısı olarak bulunur.
18.Soru
“LALE” kelimesinin harflerinin oluşturduğu küme A ve “İLAVE” kelimesinin harflerinin oluşturduğu küme B ile gösterilmek üzere A?B kümesi aşağıdakilerden hangisidir?
|
{A,L} |
|
{A,E,İ } |
|
{A,E} |
|
{A,E,V} |
|
{A,E,L} |
A={A,E,L}, B={A,E,İ,L,V} olduğuna göre A?B’dir ve A?B=A={A,E,L} olur.
19.Soru
Üstten
doğrusu, alttan
doğrusu, soldan
ve sağdan
düşey doğruları ile sınırlı düzlemsel bölgenin alanı kaç birim karedir?
|
30 |
|
10 |
|
15 |
|
20 |
|
25 |
Üstten
doğrusu, alttan
doğrusu, soldan
ve sağdan
düşey doğruları ile sınırlı düzlemsel bölge bir kenar uzunluğu 5 birim olan bir kare olduğu için alanı
birim kare olur. Doğru cevap E’dir.
20.Soru
f: A›B fonksiyonu için a,b ? A olmak üzere, a?b iken f(a)?f(b) oluyorsa, f fonksiyonuna ne ad verilebilir?
|
Sabit fonksiyon
|
|
Örten fonksiyon
|
|
Birim fonksiyon
|
|
Bire-bir fonksiyon
|
|
Bileşke fonksiyon
|
-
- 1.SORU ÇÖZÜLMEDİ
- 2.SORU ÇÖZÜLMEDİ
- 3.SORU ÇÖZÜLMEDİ
- 4.SORU ÇÖZÜLMEDİ
- 5.SORU ÇÖZÜLMEDİ
- 6.SORU ÇÖZÜLMEDİ
- 7.SORU ÇÖZÜLMEDİ
- 8.SORU ÇÖZÜLMEDİ
- 9.SORU ÇÖZÜLMEDİ
- 10.SORU ÇÖZÜLMEDİ
- 11.SORU ÇÖZÜLMEDİ
- 12.SORU ÇÖZÜLMEDİ
- 13.SORU ÇÖZÜLMEDİ
- 14.SORU ÇÖZÜLMEDİ
- 15.SORU ÇÖZÜLMEDİ
- 16.SORU ÇÖZÜLMEDİ
- 17.SORU ÇÖZÜLMEDİ
- 18.SORU ÇÖZÜLMEDİ
- 19.SORU ÇÖZÜLMEDİ
- 20.SORU ÇÖZÜLMEDİ