aof.sorular.net
Genel Matematik
Genel Matematik Deneme Sınavı
Genel Matematik Deneme Sınavı Sorusu #687679
Genel Matematik Deneme Sınavı Sorusu #687679
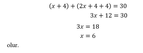
İki kardeşten birinin yaşı diğerinin yaşının 2 katından 4 fazladır. 4 yıl sonra bu iki kardeşin yaşları toplamı 30 olduğuna göre küçük kardeşin yaşı kaçtır?
|
4 |
|
6 |
|
8 |
|
10 |
|
16 |
Yanıt Açıklaması:
Küçük kardeşin yaşı x olsun. Buna göre büyük kardeşin yaşı 2x+4 olur. 4 yıl sonra bu iki kardeşin yaşları toplamı
Yorumlar
- 0 Yorum