Genel Matematik Deneme Sınavı Sorusu #466300

h(x) = (x2+1)10 fonksiyonunun türevi nedir?


10(x2+1)9

2(x+1)9

20x(x2+1)9

2x(x2+1)10

2x(x2+1)9


Yanıt Açıklaması:

h(x) fonksiyonunun türevini bulabilmek için izlenecek yollardan birisi, x2+1 ifadesinin 10. kuvvetini açıp, yani h(x) fonksiyonunu

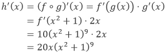
şeklinde yazıp sonra türev kurallarını uygulayıp, ortaya çıkan türev fonksiyonunda mümkün kısaltmalar ve düzenlemeler yaparak türev fonksiyonunu olabildiğince sade şekilde yazmaktır. Oldukça zahmetli ve zaman alan bu yöntemin yerine h(x) fonksiyonunu iki fonksiyonun bileşkesi olarak göz önüne alalım ve zincir kuralı da denen bir kuralı uygulayalım. f ve g türevlenebilir fonksiyonlar olmak üzere  bileşke fonksiyonunun bir x noktasındaki türevi

şeklinde bulunur. Şimdi f(x)=x10 ve g(x)=x2+1 olmak üzere h fonksiyonu

şeklindedir. Ayrıca, f'(x)=10x9 ve g'(x)=2x olduğundan

bulunur. Doğru cevap C'dir.

Yorumlar
  • 0 Yorum