Genel Matematik Final 33. Deneme Sınavı
Toplam 19 Soru1.Soru
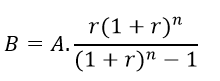
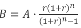
Bir bankadan %1,15 aylık faiz oranı ve 24 ay vade ile 20000 TL tüketici kredisi çekilirse, aylık geri ödeme taksitleri ne kadar olur?
|
956,6 |
|
966,6 |
|
976,6 |
|
986,6 |
|
996,6 |
borç amortismanı formülünde n=24, r=0,0115, A=20000TL değerleri kullanılarak
bulunur. Doğru cevap A'dır.
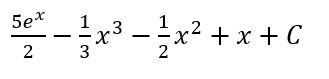
2.Soru
işleminin sonucu nedir?
|
|
|
|
|
|
|
|
|
|
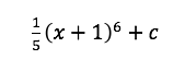
Sabit sayı var ise yanına x ekle + c
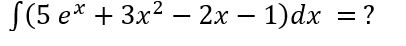
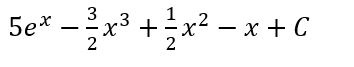
3.Soru
|
|
|
|
|
|
|
|
|
|
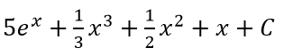
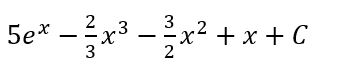
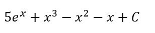
Burada
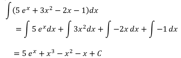
fonksiyonunun her bir teriminin ayrı ayrı integralini alarak toplamalıyız. Böylece
elde edilir. Doğru cevap C seçeneğidir.
4.Soru
Aşağıda verilen doğru çiftlerinden hangileri kesişen iki doğru belirtmez?
|
y=2x-1, y=x+3
|
|
y=3x-4, y=-2x+1
|
|
y=x, y=2x
|
|
y=2x+3, y=2x
|
|
y=5x-10, y=x
|
5.Soru
40.000 Türk Lirası yıllık % 25 bileşik faiz oranıyla 2 yıllığına bir bankaya yatırılıyor. Buna göre, 2. yılın sonunda yatırılan para kaç Türk Lirası’na ulaşır?
|
57.600
|
|
58.600
|
|
61.000
|
|
62.500
|
|
65.000
|
6.Soru
Bir sınıfta öğrenciler sıralara 4’er li otururlarsa 4 öğrenci ayakta kalıyor. 6’şar lı otururlarsa 2 sıra boş kalıyor. Bu sınıfta kaç öğrenci vardır?
|
36 |
|
40 |
|
32 |
|
42 |
|
48 |
Sıra sayısı s ve Öğrenci sayısı Ö olsun. Öğrenciler sıralara 4’er li oturduğunda 4 öğrenci ayakta kalıyorsa Ö=4S+4 eşitliği geçerlidir. 6’şar lı oturduklarında 2 sıra boş kalıyorsa öğrenciler S-2 sıraya oturuyordur. Bu durumda Ö=6(S-2) yazılır. Denklemler çözüldüğünde S=8 ve Ö=36 bulunur. Doğru cevap A'dır.
7.Soru
fonksiyonunun x0 = 1 noktasındaki limiti için aşağıda söylenenlerden hangisi doğrudur?
|
Limiti yoktur. |
|
Limiti 1’dir. |
|
Limiti 2’dir. |
|
Limiti 0’dir. |
|
Limiti -1’dir. |
1 noktasına 1’den küçük sayılarla yaklaşıldığında limit değeri 1 sayısına yaklaşırken, 1 noktasına 1’den büyük sayılarla yaklaşıldığında limit değeri 2 sayısına yaklaşmaktadır. 1 noktasına 1’den küçük ve 1’den büyük sayılarla yaklaşıldığında fonksiyonun yaklaştığı değerler aynı olmadığından f(x) fonksiyonunun x0 = 1 noktasında limiti yoktur. Doğru cevap A'dır.
8.Soru
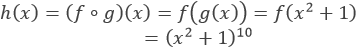
h(x) = (x2+1)10 fonksiyonunun türevi nedir?
|
10(x2+1)9 |
|
2(x+1)9 |
|
20x(x2+1)9 |
|
2x(x2+1)10 |
|
2x(x2+1)9 |
h(x) fonksiyonunun türevini bulabilmek için izlenecek yollardan birisi, x2+1 ifadesinin 10. kuvvetini açıp, yani h(x) fonksiyonunu
şeklinde yazıp sonra türev kurallarını uygulayıp, ortaya çıkan türev fonksiyonunda mümkün kısaltmalar ve düzenlemeler yaparak türev fonksiyonunu olabildiğince sade şekilde yazmaktır. Oldukça zahmetli ve zaman alan bu yöntemin yerine h(x) fonksiyonunu iki fonksiyonun bileşkesi olarak göz önüne alalım ve zincir kuralı da denen bir kuralı uygulayalım. f ve g türevlenebilir fonksiyonlar olmak üzere bileşke fonksiyonunun bir x noktasındaki türevi
şeklinde bulunur. Şimdi f(x)=x10 ve g(x)=x2+1 olmak üzere h fonksiyonu
şeklindedir. Ayrıca, f'(x)=10x9 ve g'(x)=2x olduğundan
bulunur. Doğru cevap C'dir.
10.Soru
80 sayısını %25 arttırırsak elde edilen sayı aşağıdakilerden hangisidir?
|
90
|
|
100
|
|
110
|
|
120
|
|
85
|
11.Soru
Bir bankadan %1,5 aylık faiz oranı ve 12 ay vade ile 6000 TL tüketici kredisi çekilirse, aylık geri ödeme taksitleri ne kadar olur?
|
520,48 TL |
|
530,26 TL |
|
536,84 TL |
|
546,62 TL |
|
548,50 TL |
Geri ödeme için borç amortismanı formülü, B ödenecek aylık taksit, r faiz yüzdesi, n ödeme süresi ve A ne kadar para çekildiğini göstermek üzere
şeklindeydi. n=12, r=0,015, A=6000 olduğuna göre buradan
B=536,84 TL bulunur.
12.Soru
f(x)=x^3+x ve g(x)=2x-1 olmak üzere gof(x) fonksiyonunun türevi aşağıdakilerden hangisidir?
|
2x^3+2x-1
|
|
24x^2-24x+8
|
|
3x^2-1
|
|
6x^2+2
|
|
2x^3+x-4
|
14.Soru
|
14/3 |
|
16/3 |
|
100/3 |
|
10/3 |
|
1/3 |
Dolayısıyla doğru cevap D'dir.
15.Soru
Nüfusu 75000000 olan bir ülkenin yıllık nüfus artış yüzdesi %1,2’dir. Buna göre 20 yıl sonra bu ülkenin nüfusu kaç olur?
|
|
|
|
|
|
|
|
|
|
Başlangıçtaki nüfus ile nüfus artışının toplamı yt, başlangıçtaki nüfus y0 ve nüfus artış hızı x ile gösterilmek üzere t zaman sonraki toplam nüfus aşağıda verilen formül ile hesaplanmaktadır:
Buna göre bu ülkenin 20 yıl sonraki nüfusu
olur.
16.Soru
Bir bankadan %1,35 aylık faiz oranı ve 12 ay vade ile 20000 TL tüketici kredisi çekilirse, borcun amortismanı sonucunda ödenen toplam faiz miktarı kaç TL’dir?
|
1152 |
|
1556 |
|
1852 |
|
2152 |
|
2256 |
Öncelikle aylık taksit miktarını hesaplayıp, bunu 12 ile çarparak toplam ödenecek miktarı hesaplarız. Daha sonra bulduğumuz miktardan 20000 kredi miktarını çıkarırsak, toplam faiz ödemesini bulmuş oluruz. O halde
olduğundan 1846.12=22152 ve böylece toplam faiz miktarı 22152-20000=2152 TL olarak bulunur.
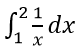
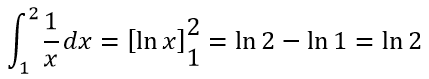
17.Soru
integralinin değeri aşağıdakilerden hangisidir?
|
ln3 |
|
ln2 |
|
1 |
|
ln(3/2) |
|
ln3-ln2 |
1/x fonksiyonun bir ilkeli lnx fonksiyonudur. Buna göre temel teoremden ln1=0 olduğunu göz önünde bulundurarak
buluruz.
18.Soru
Mehmet 10000 TL parayı %10 bileşik faiz ile bankaya yatırdığında kaç yıl sonra parası 22000 TL olur?
|
log 2
|
|
log 3
|
|
log4
|
|
log5
|
|
log6
|
-
- 1.SORU ÇÖZÜLMEDİ
- 2.SORU ÇÖZÜLMEDİ
- 3.SORU ÇÖZÜLMEDİ
- 4.SORU ÇÖZÜLMEDİ
- 5.SORU ÇÖZÜLMEDİ
- 6.SORU ÇÖZÜLMEDİ
- 7.SORU ÇÖZÜLMEDİ
- 8.SORU ÇÖZÜLMEDİ
- 9.SORU ÇÖZÜLMEDİ
- 10.SORU ÇÖZÜLMEDİ
- 11.SORU ÇÖZÜLMEDİ
- 12.SORU ÇÖZÜLMEDİ
- 13.SORU ÇÖZÜLMEDİ
- 14.SORU ÇÖZÜLMEDİ
- 15.SORU ÇÖZÜLMEDİ
- 16.SORU ÇÖZÜLMEDİ
- 17.SORU ÇÖZÜLMEDİ
- 18.SORU ÇÖZÜLMEDİ
- 19.SORU ÇÖZÜLMEDİ