aof.sorular.net
Genel Matematik
Genel Matematik Deneme Sınavı
Genel Matematik Deneme Sınavı Sorusu #398097
Genel Matematik Deneme Sınavı Sorusu #398097
aşağıdakilerden hangisidir?
|
|
|
|
|
|
|
|
|
|
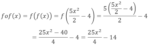
Yanıt Açıklaması:
olur.
Yorumlar
- 0 Yorum