Genel Matematik Final 38. Deneme Sınavı
Toplam 20 Soru1.Soru
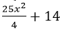
doğrularıyla sınırlı bölgenin alanı kaç 'dir?
|
|
|
|
|
|
|
|
|
|
İntegral alan ilişkisini kullanarak,
Doğru cevap C’dir.
2.Soru
matrisleri için A + B matrisi aşağıdakilerden hangisidir?
|
|
|
|
|
|
|
|
|
|
A ve B aynı boyutlu matrisler olduğundan bu iki matrisin karşılıklı gelen elemanları toplanarak
elde edilir.
3.Soru
16 sayısının %9'u ile %14'ünün toplamı kaçtır?
|
12
|
|
4
|
|
6
|
|
8
|
|
10
|
5.Soru
Ortak çarpanı 3 ve ilk terimi 5 olan birgeometrik dizinin üçüncü terimi aşagıdakilerden hangisidir?
|
45
|
|
35
|
|
15
|
|
55
|
|
60
|
7.Soru
logx=1/6 ve logy=12 olduğuna göre
sayısı aşağıdakilerden hangisidir?
|
11 |
|
7 |
|
5 |
|
3 |
|
2 |
olduğundan
olduğu elde edilir.
8.Soru
sayılarının büyükten küçüğe doğru sıralanışı aşağıdakilerden hangisidir?
|
c>b>a |
|
c>a>b |
|
b>c>a |
|
a>b>c |
|
a>c>b |
O halde; c>b>a olur. Doğru Cevap A şıkkıdır.
9.Soru
Sezon fiyatı 200 TL olan bir elbisenin fiyatı sezon sonu indiriminde 120 TL’ye düşmüştür. Bu durumda elbiseye uygulanan indirim oranı aşağıdakilerden hangisidir?
|
20 |
|
30 |
|
40 |
|
50 |
|
60 |
Elbisenin fiyatında oluşan mutlak değişim 200-120=80 TL’dir. Dolayısıyla yüzde değişim oranı 80/200=40/100’dür. Yani elbise fiyatındaki indirim oranı %40’tır.
10.Soru
Ortak çarpanı 3 ve ilk terimi 4 olan bir geometrik dizinin 10. terimi aşağıdakilerden hangisidir?
|
4.310 |
|
3.410 |
|
129 |
|
4.39 |
|
3.49 |
Geometrik bir dizi olduğuna göre ortak çarpan 3 ve ilk terim 4 olduğuna göre dizinin terimleri
4, 4.3, 4.32, 4.33, 4.34, .... biçimindedir. An=4. 3n-1genel terimi olur. Buradan 10. Terimi 4. 39 olarak hesaplanır.
11.Soru
Ortak farkı 5 ve ilk terimi 7 olan bir aritmetik dizinin ilk 4 teriminin toplamı nedir?
|
48
|
|
52
|
|
58
|
|
22
|
|
27
|
12.Soru
f(x)=3x^2+6x-1 ise f'(1) değeri aşağıdakilerden hangisidir?
|
12 |
|
11 |
|
10 |
|
9 |
|
8 |
f(x)=3x2+6x-1 fonksiyonunu türevi f'(x)=6x+6 olduğundan x = 1 değeri için, f'(1)=6.1+6=12 olur.
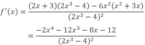
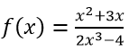
13.Soru
ise f'(2) değeri kaçtır?
|
13/12 |
|
1 |
|
0 |
|
-1 |
|
-13/12 |
Bölümün türevi kuralından
bulunur. O halde
dir. Doğru cevap E'dir.
14.Soru
f(x) = x2-9 ile x ekseni arasında kalan alan kaç br2’dir?
|
36 |
|
0 |
|
18 |
|
17/3 |
|
7/3 |
Alan ( - ) olamayacağı için ( + ) olarak yazılır. dir.
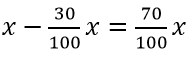
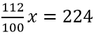
15.Soru
Önce %30 azaltılıp daha sonra %60 arttırıldığında 224 sayısına eşit olan sayı aşağıdakilerden hangisidir?
|
100 |
|
150 |
|
180 |
|
200 |
|
210 |
Sayıya x diyelim. Bu sayı %30 azaltılırsa
sayısı elde edilir. %60 arttırıldığında ise
olup
eşitliğinden x=200 bulunur. Doğru yanıt D seçeneğidir.
16.Soru
f(x)=2x²+1 fonksiyonunun x=2 noktasındaki limiti nedir?
|
9
|
|
5
|
|
3
|
|
2
|
|
1
|
17.Soru
Üstten y=0 doğrusu, alttan y=-5 doğrusu, soldan x=0 ve sağdan x=5 düşey doğruları ile sınırlı düzlemsel bölgenin alanı kaç birim karedir?
|
30 |
|
10 |
|
15 |
|
20 |
|
25 |
Üstten y=0 doğrusu, alttan y=-5 doğrusu, soldan x=0 ve sağdan x=5 düşey doğruları ile sınırlı düzlemsel bölge bir kenar uzunluğu 5 birim olan bir kare olduğu için alanı A=52=25 birim kare olur. Dolayısıyla doğru cevap E'dir.
18.Soru
%20 zararla 3200 liraya satılan bir maldan kaç lira zarar edilmektedir?
|
800 |
|
700 |
|
640 |
|
550 |
|
400 |
100 liraya alsaydım 20 lira zararla 80 liraya satacaktım.
80 liralık satışta 20 lira zarar ediliyorsa
3200 liralık satışta x lira zarar edilir.
x=(3200.20)/80=800 TL’dir.
19.Soru
Birim zamanda aldığı yol x(t)=t^2 ile verilen bir parçacığın 5. birim zamandaki anlık hızı nedir?
|
10
|
|
5
|
|
15
|
|
20
|
|
25
|
-
- 1.SORU ÇÖZÜLMEDİ
- 2.SORU ÇÖZÜLMEDİ
- 3.SORU ÇÖZÜLMEDİ
- 4.SORU ÇÖZÜLMEDİ
- 5.SORU ÇÖZÜLMEDİ
- 6.SORU ÇÖZÜLMEDİ
- 7.SORU ÇÖZÜLMEDİ
- 8.SORU ÇÖZÜLMEDİ
- 9.SORU ÇÖZÜLMEDİ
- 10.SORU ÇÖZÜLMEDİ
- 11.SORU ÇÖZÜLMEDİ
- 12.SORU ÇÖZÜLMEDİ
- 13.SORU ÇÖZÜLMEDİ
- 14.SORU ÇÖZÜLMEDİ
- 15.SORU ÇÖZÜLMEDİ
- 16.SORU ÇÖZÜLMEDİ
- 17.SORU ÇÖZÜLMEDİ
- 18.SORU ÇÖZÜLMEDİ
- 19.SORU ÇÖZÜLMEDİ
- 20.SORU ÇÖZÜLMEDİ