aof.sorular.net
Genel Matematik
Genel Matematik Deneme Sınavı
Genel Matematik Deneme Sınavı Sorusu #464875
Genel Matematik Deneme Sınavı Sorusu #464875
x ekseni boyunca hareket eden bir cismin t anındaki hızı metre/saniye türünden v(t)=1+3t2 denklemiyle veriliyor. Eğer bu cisim t=0 anında başlangıç noktasında ise bu cismin x ekseni üzerindeki konumu zamana bağlı olarak veren fonksiyon aşağıdakilerden hangisidir?
|
3t |
|
1/3 t2+t |
|
2t+1 |
|
t3+t |
|
t3+t2+1 |
Yanıt Açıklaması:
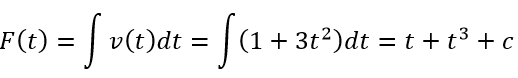
Burada hız verilip yol denklemi sorulduğu için integral hesabı söz konusudur. Bulunmak istenen yol fonksiyonu F(t) ile gösterilirse, F(0)=0 ve F'(t)=v(t)=1+3t2 olduğu bilinmektedir. O halde hızın integrali alınırsa
olarak elde edilir. Konum fonksiyonu F(t)=t3+t+c şeklindedir. (0)=0 kullanılırsa yol fonksiyonu F(t)=t3+t olur.
Yorumlar
- 0 Yorum