Genel Matematik Final 41. Deneme Sınavı
Toplam 20 Soru1.Soru
∫(2x^5+10x-2) dx intergralinin sonucu aşağıdakilerden hangisidir?
|
2x^4 +10+c
|
|
(x^6)/3 +5x^2 - 2x+c
|
|
2x^6+10x^2-2x+c
|
|
x^6+10x^2+c
|
|
x^7+x^2+c
|
2.Soru
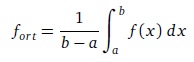
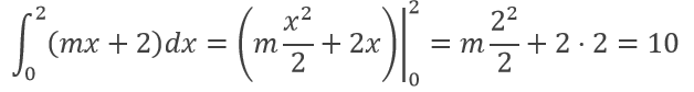
sayısının değeri aşağıdakilerden hangisidir?
|
3 |
|
4 |
|
5 |
|
6 |
|
7 |
olduğundan m=3 bulunur. Doğru cevap A’dır.
3.Soru
?1,44-?0,36 işleminin sonucu kaçtır?
|
1.2
|
|
0.6
|
|
1.8
|
|
1.28
|
|
0.8
|
4.Soru
Bir bankadan %1.75 aylık faiz oranı ve 12 ay vade ile 20.000 TL tüketici kredisi çekilirse, borcun amortismanı sonucunda ödenen faiz miktarı aşağıdakilerden hangisidir?
|
2378.79
|
|
2400.84
|
|
2389.80
|
|
2234.78
|
|
2453.80
|
5.Soru
sisteminin çözümü aşağıdakilerden hangisidir?
|
(-1, 2) |
|
(0, 1) |
|
(-1, 0) |
|
(1, 0) |
|
(0, -1) |
İkinci denklemi -2 ile çarpılıp birinci ve ikinci denklemler taraftara toplanırsa,
buradan -7y =7 ve y =-1 bulunur. Birinci denklemde y = - 1 yazılırsa, 2x – 3.(-1) = 3 ise 2x = 0 ve x = 0 elde edilir.
6.Soru
Aşağıdaki fonksiyonlardan hangisi örtendir?
|
|
|
|
|
|
|
|
|
|
f(x)=1 olacak şekilde olmadığından f fonksiyonu örten değildir.
g(x)=2 olacak şekilde olmadığından g fonksiyonu örten değildir.
h(x)=1 olacak şekilde olmadığından h fonksiyonu örten değildir.
v(x)=3 olacak şekilde olmadığından v fonksiyonu örten değildir. Fakat her
için
,
ve u(x)=y olduğundan u fonksiyonu örtendir. Doğru cevap D'dir.
7.Soru
Ece kırtasiyeden tanesi 3 TL ve 5 TL olan kalemlerden 15 tane alarak 65 TL ödüyor. Buna göre Ece kaç tane 3 TL’lik kalem almıştır.
|
3
|
|
4
|
|
5
|
|
6
|
|
7
|
8.Soru
f(x)=-4x2+24x+1 fonksiyonunun artışının yavaşladığı aralık aşağıdakilerden hangisidir?
|
(-∞, ∞) |
|
(3, ∞) |
|
(-3, ∞) |
|
(-∞, -3) |
|
(-∞, 3) |
f'(x)=-8x+24 olup, birinci mertebeden türev (-∞, 3) aralığında pozitif, ikinci mertebeden türev f''(x)=-8 olup, her zaman negatiftir. Dolayısıyla (-∞, 3) aralığında birinci mertebeden türev pozitif, ikinci mertebeden türev negatif olduğundan bu aralıkta fonksiyonun artışı yavaşlar.
9.Soru
x2+3x+4=0 denkleminin çözüm kümesi aşağıdakilerden hangisidir?
|
{-2} |
|
{2} |
|
{-1,4} |
|
{1,-4} |
|
|
x2+3x+4=0 denkleminin çözmek için önce ? hesaplanır.
10.Soru
120 sayısını %5 artırdığımızda yeni sayı ne olur?
|
122 |
|
124 |
|
126 |
|
128 |
|
130 |
120+(120.5/100)=126 olur.
11.Soru
Düzlemde sonlu sayıda doğru parçasının uç uca eklenmesiyle oluşturulan kapalı bölgeye verilen ad aşağıdakilerden hangisidir?
|
Çokgensel |
|
Diagonal |
|
Dairesel |
|
Simetrik |
|
Asmetrik |
Düzlemde sonlu sayıda doğru parçasının uç uca eklenmesiyle oluşturulan kapalı bölgeye çokgensel bir bölge denir. Doğru cevap A'dır.
12.Soru
x ekseni boyunca hareket eden bir cismin t anındaki hızı metre/saniye türünden v(t)=1+3t2 denklemiyle veriliyor. Eğer bu cisim t=0 anında başlangıç noktasında ise bu cismin x ekseni üzerindeki konumu zamana bağlı olarak veren fonksiyon aşağıdakilerden hangisidir?
|
3t |
|
1/3 t2+t |
|
2t+1 |
|
t3+t |
|
t3+t2+1 |
Burada hız verilip yol denklemi sorulduğu için integral hesabı söz konusudur. Bulunmak istenen yol fonksiyonu F(t) ile gösterilirse, F(0)=0 ve F'(t)=v(t)=1+3t2 olduğu bilinmektedir. O halde hızın integrali alınırsa
olarak elde edilir. Konum fonksiyonu F(t)=t3+t+c şeklindedir. (0)=0 kullanılırsa yol fonksiyonu F(t)=t3+t olur.
13.Soru
fonksiyonu verilsin.
aralığı eşit uzunluklu üç alt aralığa bölünsün. Bu durumda oluşan bölüntüye göre, Riemann toplamı aşağıdakilerden hangisidir?
|
5 |
|
8 |
|
9 |
|
18 |
|
24 |
aralığı eşit uzunluklu üç alt aralığa bölündüğünde her bir alt aralığın uzunluğu 1 birim olur ve
bölüntüsü elde edilir. Bu bölüntüye göre Riemann toplamı
bulunur. Doğru cevap B’dir.
14.Soru
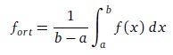
ifadesi aşağıdakilerden hangisinde doğru olarak gösterilmiştir?
|
f fonksiyonunun ortalama değeri |
|
f fonksiyonunun aritmetik değeri |
|
f fonksiyonunun simetrik değeri |
|
f fonksiyonunun asimetrik değeri |
|
f fonksiyonunun çapraz değeri |
f fonksiyonunun (a,b) aralığı üzerindeki ortalama değeri
olarak tanımlanır. Dolayısıyla doğru cevap A'dır.
15.Soru
f(x)=3x2-3 fonksiyonunun azalan olduğu aralık aşağıdakilerden hangisidir?
|
(-∞, 0) |
|
(-2, 2) |
|
(2, ∞) |
|
(-∞, -2) |
|
(-2, ∞) |
Fonksiyonun birinci türevinin sıfır olduğu nokta bulunur.
f'(x)=6x olur. 6x=0 iken x=0'dır.
x=0 iken f'(0)=0
x<0 iken f’(x) <0;
x>0 iken f’(x) >0 olduğundan fonksiyon (-∞, 0) aralığında azalan olur.
16.Soru
80 sayısını %5 arttırırsak sonuç ne olur?
|
81 |
|
82 |
|
84 |
|
86 |
|
88 |
Doğru cevap C seçeneğidir.
17.Soru
Bir alışveriş mağazasında 200 liraya satılan bir ürünün fiyatına önce %50 indirim daha sonra indirimli fiyat üzerinden %25 indirim yapılırsa bu ürünün satış fiyatı kaç lira olur?
|
125 |
|
100 |
|
75 |
|
50 |
|
25 |
200 liraya satılan bir ürün %50 indirim yapılırsa 200-200*50/100=100 lira olur. İndirimli fiyat üzerinden %25 indirim yapılırsa 100-100*25/100=75 lira bu ürünün son satış fiyatı olur. Doğru yanıt C seçeneğidir.
18.Soru
Richter ölçeğine göre 6'lık bir deprem 4'lük bir depreme göre kıyaslanmak istenirse aşağıdaki hangi seçenek doğru olur?
|
6'lık deprem 4'lük depremden 6/4 kat büyüktür
|
|
6'lık deprem 4'lük depremden 6/4 kat küçüktür
|
|
6'lık deprem 4'lük depremden 2 kat büyüktür
|
|
6'lık deprem 4'lük depremden 10 kat küçüktür
|
|
6'lık deprem 4'lük depremden 100 kat büyüktür
|
19.Soru
Bir bankanın aylık faiz oranı %1,4 ise yıllık faiz oranı ne olur?
|
(1,014)^14
|
|
(1,014)^13
|
|
(1,014)^12
|
|
(1,018)^14
|
|
(1,016)^14
|
20.Soru
A={a,b,c,d,e} ve B={c,d,f,g,h} ise =?
|
{a,b} |
|
{f,g} |
|
{ } |
|
{c,d} |
|
{c} |
Doğru cevap {c,d} 'dir
-
- 1.SORU ÇÖZÜLMEDİ
- 2.SORU ÇÖZÜLMEDİ
- 3.SORU ÇÖZÜLMEDİ
- 4.SORU ÇÖZÜLMEDİ
- 5.SORU ÇÖZÜLMEDİ
- 6.SORU ÇÖZÜLMEDİ
- 7.SORU ÇÖZÜLMEDİ
- 8.SORU ÇÖZÜLMEDİ
- 9.SORU ÇÖZÜLMEDİ
- 10.SORU ÇÖZÜLMEDİ
- 11.SORU ÇÖZÜLMEDİ
- 12.SORU ÇÖZÜLMEDİ
- 13.SORU ÇÖZÜLMEDİ
- 14.SORU ÇÖZÜLMEDİ
- 15.SORU ÇÖZÜLMEDİ
- 16.SORU ÇÖZÜLMEDİ
- 17.SORU ÇÖZÜLMEDİ
- 18.SORU ÇÖZÜLMEDİ
- 19.SORU ÇÖZÜLMEDİ
- 20.SORU ÇÖZÜLMEDİ