aof.sorular.net
Genel Matematik
Genel Matematik Deneme Sınavı
Genel Matematik Deneme Sınavı Sorusu #453860
Genel Matematik Deneme Sınavı Sorusu #453860
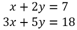
denklem sisteminin çözümü nedir?
|
(-3, 1) |
|
(-1, 3) |
|
(1, 3) |
|
(3, 1) |
|
(-1, -3) |
Yanıt Açıklaması:
Yerine koyma yöntemini kullanarak ilk denklemden elde edilen x=7-2y ikinci denklemde yerine konulursa, 3(7-2y)+5y=18 eşitliğinden y=3 elde edilir. Bu değer denklemlerden birinde yerine konulursa, x=1 elde edilir. Çözüm (1, 3) noktasıdır. Doğru cevap C'dir.
Yorumlar
- 0 Yorum