Genel Matematik Final 7. Deneme Sınavı
Toplam 20 Soru1.Soru
Ortak farkı 2 ve ilk terimi 10 olan bir aritmetik dizinin ilk 10 teriminin toplamı aşağıdakilerden hangisidir?
|
190 |
|
180 |
|
170 |
|
160 |
|
200 |
Verilen dizinin ilk terimi (a1)10 ve ortak katı (k) 2 olduğuna göre ilk 10 teriminin toplamı:
a1+a2+…+a10=10.a1+[1+2+3+…+9].2=10.10+((9.10)/2).2=190 bulunur. Doğru yanıt A.
2.Soru
A=[1 2] ve B= [3 -1] olmak üzere A+B matrisi aşağıdakilerden hangisidir?
|
[4 1]
|
|
[-2 1]
|
|
[1 1]
|
|
[1 2]
|
|
[1 5]
|
3.Soru
Hız zaman fonksiyonu f(t)=t^2+1 olan bir cismin [0,3] aralığındaki ortalama hızı nedir?
|
2
|
|
3
|
|
5
|
|
1
|
|
4
|
4.Soru
(0,0) noktasından geçen ve eğimi 2 olan doğrunun denklemi nedir?
|
y=0
|
|
y=x
|
|
y=2x
|
|
x=0
|
|
x=2
|
5.Soru
f(x)=1/x fonksiyonunun azalan olduğu aralığı bulunuz.
|
IR
|
|
(0,Sonsuz)
|
|
(-sonsuz,0)
|
|
(1,sonsuz)
|
|
(-sonsuz,1)
|
7.Soru
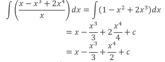
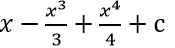
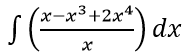
integralinin sonucu aşağıdakilerden hangisidir?
|
|
|
|
|
|
|
|
|
|
olur. Doğru cevap A’dır.
8.Soru
Bir bankanın aylık faiz oranı %1.32 ise 6 aylık faiz oranı aşağıdakilerden hangisidir?
|
%8
|
|
%10
|
|
%12
|
|
%14
|
|
%16
|
9.Soru
y=x-5 ve y=2x-8 doğrularının kesişim noktasının koordinatları aşağıdakilerden hangisidir?
|
(1, 2) |
|
(2, 3) |
|
(3, -2) |
|
(-2, 3) |
|
(-2, -3) |
Hem birinci hem de ikinci denklemi sağlayan nokta istenen noktadır. O halde x-5=2x-8 denkleminden x=3 ve y=x-5 olduğundan y=3-5=-2 olur. O halde kesişim noktasının koordinatları (3,-2)’dir. Doğru cevap C'dir.
10.Soru
Bir bankadan %1,75 aylık faiz oranı ve 36 ay vade ile 5000 TL tüketici kredisi çekilirse, aylık geri ödeme taksitleri ne kadar olur?
|
188,37
|
|
177,46
|
|
197,23
|
|
192,38
|
|
181,63
|
11.Soru
f(x)=3x+1 ise f '(2)=?
|
3
|
|
5
|
|
7
|
|
8
|
|
11
|
12.Soru
log 4 = a, log 3 = b verildiğine göre log (300 / 4) nedir?
|
a + 2 * b
|
|
2 * (b - a)
|
|
2 + a + b
|
|
b - a + 2
|
|
a - b + 3
|
13.Soru
y=0, x=2 ve üstten y=x^3-1 eğrisi ile sınırlı bölgenin alanı aşağıdakilerden hangisidir?
|
6
|
|
4
|
|
3
|
|
8/4
|
|
11/4
|
14.Soru
Bir bankadan %0,5 aylık faiz oranı ve 12 ay vade ile 80 000TL taşıt kredisi çekiliyor. Aylık ödeme taksitleri ne kadar olur?
|
7 066,67 |
|
7 076,52 |
|
7152,24 |
|
7 172,65 |
|
7 256,85 |
15.Soru
f(x)=(3x^2-4)/x fonksiyonu için f'(2) nedir?
|
1
|
|
2
|
|
3
|
|
4
|
|
5
|
16.Soru
Bir geometrik dizinin ardışık 3 terimi x-2, x+2, x+4 olduğuna göre x sayısı kaçtır?
|
-4
|
|
-8
|
|
-6
|
|
-12
|
|
-16
|
17.Soru
f ve g iki fonksiyon ve k bir reel sayı olmak üzere aşağıdakilerden hangisi yanlıştır?
|
(f+g)'(x)=f'(x)+g'(x)
|
|
(kf)'(x)=k.f'(x)
|
|
(f.g)'(x)=f'(x).g'(x)
|
|
Sabit fonksiyonun her noktada türevi sıfırdır.
|
|
Birim fonksiyonu her noktada türevi birdir.
|
19.Soru
denklem sisteminin çözümü nedir?
|
(-3, 1) |
|
(-1, 3) |
|
(1, 3) |
|
(3, 1) |
|
(-1, -3) |
Yerine koyma yöntemini kullanarak ilk denklemden elde edilen x=7-2y ikinci denklemde yerine konulursa, 3(7-2y)+5y=18 eşitliğinden y=3 elde edilir. Bu değer denklemlerden birinde yerine konulursa, x=1 elde edilir. Çözüm (1, 3) noktasıdır. Doğru cevap C'dir.
20.Soru
Aşağıdakilerden hangisinde verilen denklemler ile grafikleri doğru eşleştirilmiştir.
|
I-a, II-b, III-c |
|
I-b, II-a, III-c |
|
I-b, II-c, III-a |
|
I-c, II-a, III-b |
|
I-a, II-c, III-b |
Verilen denklemler eşlenirse I-b, II-c, III-a olarak ifade edilebilir. Yeşil olan ise 5x fonksiyonunun grafiğidir.
-
- 1.SORU ÇÖZÜLMEDİ
- 2.SORU ÇÖZÜLMEDİ
- 3.SORU ÇÖZÜLMEDİ
- 4.SORU ÇÖZÜLMEDİ
- 5.SORU ÇÖZÜLMEDİ
- 6.SORU ÇÖZÜLMEDİ
- 7.SORU ÇÖZÜLMEDİ
- 8.SORU ÇÖZÜLMEDİ
- 9.SORU ÇÖZÜLMEDİ
- 10.SORU ÇÖZÜLMEDİ
- 11.SORU ÇÖZÜLMEDİ
- 12.SORU ÇÖZÜLMEDİ
- 13.SORU ÇÖZÜLMEDİ
- 14.SORU ÇÖZÜLMEDİ
- 15.SORU ÇÖZÜLMEDİ
- 16.SORU ÇÖZÜLMEDİ
- 17.SORU ÇÖZÜLMEDİ
- 18.SORU ÇÖZÜLMEDİ
- 19.SORU ÇÖZÜLMEDİ
- 20.SORU ÇÖZÜLMEDİ