aof.sorular.net
Matematik 1
Matematik 1 Deneme Sınavı
Matematik 1 Deneme Sınavı Sorusu #593510
Matematik 1 Deneme Sınavı Sorusu #593510
değeri aşağıdakilerden hangisidir?
A
B
C
1
D
0
E
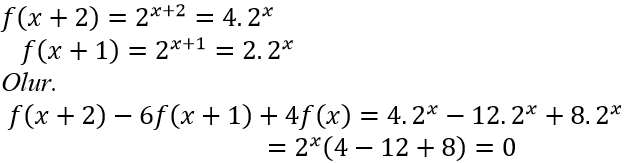
Yanıt Açıklaması:
Olarak bulunur. Doğru cevap D seçeneğidir.
Yorumlar
0 Yorum
Alt Bilgi
© 2019
sorular.net
Bilgi
IOS Uygulamamız Güncellendi!
İndir
Geri