Matematik 1 Ara 21. Deneme Sınavı
Toplam 18 Soru1.Soru
log(xy)=a ifadesini aşağıdakilerden hangisi için doğru değildir?
|
x<-8 ve y<-12
|
|
x>3 ve y>1
|
|
y>2 ve x/y>1
|
|
x>2 ve y<-1
|
|
xy>4
|
2.Soru
y=3-x doğrusu ile y=2x doğrusunun kesiştiği nokta aşağıdakilerden hangisidir?
|
(-1, 4)
|
|
(1, 2)
|
|
(1, 3)
|
|
(2, 3)
|
|
(0, 0)
|
3.Soru
75 kişilik bir sınıfta, belli bir sınav döneminde bütün öğrenciler Matematik veya Biyoloji sınavlarının en az birinden başarılı olmuştur. 25 öğrenci yalnızca Matematik, 35 öğrenci yalnızca Biyoloji sınavında başarılı olduğuna göre hem Matematik hem de Biyoloji sınavlarında başarılı olan kaç öğrenci vardır?
|
10 |
|
15 |
|
20 |
|
25 |
|
30 |
Her öğrenci MUB kümesinin bir elemanıdır. Yalnızca Matematik sınavında başarılı öğrenciler, Biyoloji sınavında başarısız olduğu için M\B kümesini oluşturur. Benzer olarak, yalnızca Biyoloji sınavında başarılı öğrenciler B\M kümesini oluşturur. Kesişim kümesi hem Matematik hem de Biyoloji sınavında başarılı öğrencilerin kümesidir. Yalnızca bir dersten başarılı olan 25+35=60 öğrenci vardır. Sınıfta toplam 75 öğrenci olduğuna göre her iki sınavda da başarılı olmuş öğrenci sayısı 75- 60=15 olur.
4.Soru
ifadesi aşağıdakilerden hangisine eşittir?
|
0 |
|
1 |
|
2 |
|
4 |
|
8 |
20=1 ve 21=2 olduğundan
olur.
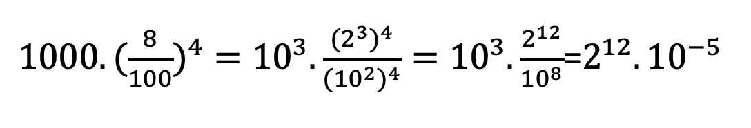
5.Soru
eşitsizliğinin çözüm aralığı hangisidir?
|
|
|
|
|
|
|
|
|
|
İkinci dereceden eşitsiliklerde
6.Soru
100 milyarın 10 tabanına göre logaritması kaçtır?
|
11
|
|
10
|
|
5
|
|
6
|
|
8
|
9.Soru
2 tabanına göre logaritması 6 olan sayı aşağıdakilerden hangisidir?
|
64 |
|
32 |
|
2 |
|
10 |
|
16 |
10.Soru
Gerçel sayılarda yarı - açık aralığı nasıl gösterilir?
|
|
|
|
|
|
|
|
|
|
12.Soru
değeri aşağıdakilerden hangisidir?
|
|
|
|
|
1 |
|
0 |
|
|
Olarak bulunur. Doğru cevap D seçeneğidir.
13.Soru
f(x)=3x-5 olduğuna göre f(-1) kaçtır?
|
-8
|
|
-2
|
|
8
|
|
5
|
|
1
|
14.Soru
Aşağıdakilerden hangisi {a,b,c,d} kümesinin bir alt kümesi değildir?
|
{a,b,c,d}
|
|
{a}
|
|
{a,b}
|
|
a
|
|
{c,d}
|
15.Soru
aşağıdakilerden hangisine eşittir?
|
0 |
|
1 |
|
2 |
|
4 |
|
8 |
olduğundan
olur. Buradan doğru cevap D’dir.
16.Soru
log10=a ise log10000 ifadesinin a cinsinden değeri aşağıdakilerden hangisidir?
|
a^4
|
|
a+4
|
|
4a
|
|
40a
|
|
10a
|
18.Soru
0,002/x=0,04 ise x kaça eşittir?
|
0,05 |
|
0,5 |
|
0,02 |
|
0,2 |
|
0,04 |
olur.
-
- 1.SORU ÇÖZÜLMEDİ
- 2.SORU ÇÖZÜLMEDİ
- 3.SORU ÇÖZÜLMEDİ
- 4.SORU ÇÖZÜLMEDİ
- 5.SORU ÇÖZÜLMEDİ
- 6.SORU ÇÖZÜLMEDİ
- 7.SORU ÇÖZÜLMEDİ
- 8.SORU ÇÖZÜLMEDİ
- 9.SORU ÇÖZÜLMEDİ
- 10.SORU ÇÖZÜLMEDİ
- 11.SORU ÇÖZÜLMEDİ
- 12.SORU ÇÖZÜLMEDİ
- 13.SORU ÇÖZÜLMEDİ
- 14.SORU ÇÖZÜLMEDİ
- 15.SORU ÇÖZÜLMEDİ
- 16.SORU ÇÖZÜLMEDİ
- 17.SORU ÇÖZÜLMEDİ
- 18.SORU ÇÖZÜLMEDİ