aof.sorular.net
Matematik 1
Matematik 1 Deneme Sınavı
Matematik 1 Deneme Sınavı Sorusu #594836
Matematik 1 Deneme Sınavı Sorusu #594836
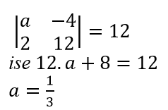
değeri aşağıdakilerden hangisidir?
A
B
C
D
3
E
2
Yanıt Açıklaması:
olarak bulunur.
Dolayısıyla cevap A seçeneğidir.
Yorumlar
0 Yorum
Alt Bilgi
© 2019
sorular.net
Bilgi
IOS Uygulamamız Güncellendi!
İndir
Geri