Matematik 1 Final 15. Deneme Sınavı
Toplam 18 Soru1.Soru
y=2x-3 ve y=-x+3 doğrularının kesişim noktasından geçen ve eğimi 3 olan doğrunun denklemi aşağıdakilerden hangisidir?
|
y=3x-4
|
|
y=-3x+2
|
|
y=3x-5
|
|
2y=3x+2
|
|
3y=x-1
|
2.Soru
f(x)=x4+2 fonksiyonunun grafiğine hangi x noktasında çizilen teğet doğrusunun eğimi 4 olur?
|
-2 |
|
-1 |
|
0 |
|
1 |
|
2 |
Bunun için önce f fonksiyonunun türevini alıp 4’e eşitlemeliyiz. f'(x)=4x3=4 denkleminden x=1 olur.
3.Soru
Bir tüketicinin satın almayı düşündüğü iki mal için harcayabileceği 600 TL’si vardır. Birinci malın fiyatı 15 TL, ikinci malın fiyatı ise 30 TL’dir. Bu tüketici birinci maldan x tane, ikinci maldan da y tane satın aldığında elde edeceği fayda, U(x,y)=3x0,2y0,8 fonksiyonu ile belirlenmiş olsun. Tüketicinin faydasını maksimum yapmak için satın alınacak x ve y miktarları ne olmalıdır?
|
x=8, y=16 |
|
x=8, y=18 |
|
x=16, y=8 |
|
x=18, y=6 |
|
x=8, y=8 |
Tüketicinin parasındaki kısıt 15x+30y=600 olacaktır. Bu bütçe kısıtı altında U(x,y)=3x0,2y0,8 fonksiyonunu maksimum yapan değerleri bulalım. Lagrange fonksiyonu
olur. Her bir değişkene göre kısmi türevler hesaplanacak olursa
elde edilir. Kısmi türevler 0’a eşitlenip denklem sistemi çözülecek olursa x=8 ve y=16 elde edilir.
4.Soru
değeri aşağıdakilerden hangisidir?
|
|
|
|
|
|
|
3 |
|
2 |
olarak bulunur. Dolayısıyla cevap A seçeneğidir.
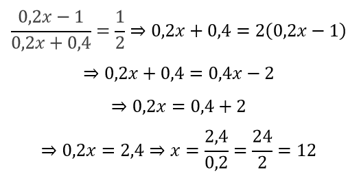
7.Soru
|
10 |
|
1,2 |
|
1 |
|
12 |
|
4 |
olduğundan doğru cevap D’dir.
9.Soru
MATEMATİK kelimesindeki harflerin kümesi aşağıdakilerden hangisidir?
|
|
|
|
|
|
|
|
|
|
10.Soru
değeri aşağıdakilerden hangisidir?
|
4 |
|
3 |
|
2 |
|
1 |
|
0 |
Verilen fonksiyonda
yerine 1
yerine -1
yerine 1 yazılacak olursa
elde edilir. O halde doğru cevap B’dir.
11.Soru
|
3 |
|
5 |
|
8 |
|
12 |
|
20 |
Toplamların limiti limitleri toplamına eşit olduğundan
olarak elde edilir. Dolayısıyla doğru cevap E seçeneğidir.
13.Soru
K sermaye ve L işgücünü göstermek üzere yeni bir ürüne ait Cobb-Douglas üretim fonksiyonu Q(K,L)=5K0.5L0.5 olarak belirtilmiştir. Sermayenin birim maliyeti 50? ve işçilik birim maliyeti 10?'dir. U ürünün üretimi için 50000?'ilk bir bütçe ayrıldığına göre üretimi maksimum yapacak sermaye aşağıdakilerden hangisidir?
|
500 |
|
2500 |
|
1500 |
|
1000 |
|
2000 |
500
14.Soru
f(x) = ax + b şeklinde formülize edilen polinomlar kaçıncı dereceden polinomlardır?
|
Birinci dereceden polinomlar
|
|
İkinci dereceden polinomlar
|
|
Üçüncü dereceden polinomlar
|
|
Dördüncü dereceden polinomlar
|
|
Beşinci dereceden polinomlar
|
15.Soru
fonksiyonu hangi aralıkta azalandır?
|
|
|
|
|
|
|
|
|
|
Fonksiyon, türevinin negatif olduğu aralıkta azalandır. Bu nedenle önce türevi bulmalıyız.
dir. Türevin işaretini incelemek için kökünü bulmalıyız.
dir.
den büyük değerleri için negatiftir. Fonksiyon
aralığında fonksiyon azalandır. Doğru cevap B seçeneğidir.
16.Soru
y=x doğrusunun bir birim aşağıya kaydırılması ile elde edilen doğru aşağıdakilerden hangisidir?
|
y=x-1
|
|
y-1=x
|
|
y-1=x-1
|
|
y=x-2
|
|
y=2x
|
17.Soru
f(x,y) = In(x^2 + y^2) fonksiyonu verilmiştir. Buna göre f (1,0) değeri aşağıdakilerden hangisidir?
|
0
|
|
1
|
|
3
|
|
4
|
|
5
|
-
- 1.SORU ÇÖZÜLMEDİ
- 2.SORU ÇÖZÜLMEDİ
- 3.SORU ÇÖZÜLMEDİ
- 4.SORU ÇÖZÜLMEDİ
- 5.SORU ÇÖZÜLMEDİ
- 6.SORU ÇÖZÜLMEDİ
- 7.SORU ÇÖZÜLMEDİ
- 8.SORU ÇÖZÜLMEDİ
- 9.SORU ÇÖZÜLMEDİ
- 10.SORU ÇÖZÜLMEDİ
- 11.SORU ÇÖZÜLMEDİ
- 12.SORU ÇÖZÜLMEDİ
- 13.SORU ÇÖZÜLMEDİ
- 14.SORU ÇÖZÜLMEDİ
- 15.SORU ÇÖZÜLMEDİ
- 16.SORU ÇÖZÜLMEDİ
- 17.SORU ÇÖZÜLMEDİ
- 18.SORU ÇÖZÜLMEDİ