aof.sorular.net
Matematik 1
Matematik 1 Deneme Sınavı
Matematik 1 Deneme Sınavı Sorusu #543018
Matematik 1 Deneme Sınavı Sorusu #543018
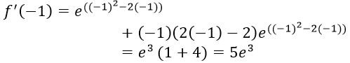
ise f'(-1) aşağıdakilerden hangisidir?
A
3e
5
B
e
3
C
5e
3
D
-4e
5
E
-5e
3
Yanıt Açıklaması:
fonksiyonunun türevi
dir.
olur.
Yorumlar
0 Yorum
Alt Bilgi
© 2019
sorular.net
Bilgi
IOS Uygulamamız Güncellendi!
İndir
Geri