Matematik 1 Deneme Sınavı Sorusu #541753

matrisinin tersi aşağıdakilerden hangisidir?



Yanıt Açıklaması:

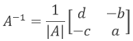
matrisi için |A|=ad-bc olmak koşulu ile

olduğunu biliyoruz bu durumda |A|=6-5=1 ve

olarak bulunur.

Yorumlar
  • 0 Yorum