Matematik 1 Final 23. Deneme Sınavı
Toplam 18 Soru2.Soru
Aşağıdakilerden hangisi iki değişkenli bir fonksiyondur?
|
g(x,y) = xy + x -y -5
|
|
h(a,b,c) = a^2 -ab +bc
|
|
p(x,y,z) = 3xy -4z
|
|
H(x,y,z) = xyz -11
|
|
f(x,y,z) = x^2 + y^2 + z^2
|
3.Soru
250 gr'lık margarin paketleri için % 1 lik tartı hatasına izin verildiği ve firmanın buna uyduğu kabul edilirse, bir paketin içindeki margarinin gr cinsinden ağırlığı hangi aralıkta olur?
|
|
|
|
|
|
|
|
|
|
250 +2.5 = 252.5
250 - 2.5 = 247.5
4.Soru
matrisinin tersi aşağıdakilerden hangisidir?
|
|
|
|
|
|
|
|
|
|
matrisi için |A|=ad-bc olmak koşulu ile
olduğunu biliyoruz bu durumda |A|=6-5=1 ve
olarak bulunur.
7.Soru
f(x)=x^3+4x-1 fonksiyonunun x=2 noktasındaki limiti aşağıdakilerden hangisidir?
|
20
|
|
18
|
|
16
|
|
15
|
|
14
|
9.Soru
f(x)=x(2x+4) ise f '(2) kaçtır?
|
9
|
|
10
|
|
11
|
|
12
|
|
13
|
11.Soru
İçinde 100 gram antepfıstığı bulunan paketler için %2’lik bir ölçüm hatasına izin verildiği bilinmektedir. Buna göre antepfıstığı paketinin gram cinsinden gerçek ağırlığı hangi aralıkta olur?
|
|
|
|
|
|
|
|
|
|
12.Soru
ax + by = e cx + dy = f denklemlerinden oluşan sisteme verilen ad aşağıdakilerden hangisidir?
|
Bir bilinmeyenli ve iki denklemden oluşan doğrusal denklem sistemi |
|
İki bilinmeyenli ve iki denklemden oluşan doğrusal denklem sistemi |
|
Bir bilinmeyenli ve bir denklemden oluşan doğrusal denklem sistemi |
|
İki bilinmeyenli ve bir denklemden oluşan doğrusal denklem sistemi |
|
Bir bilinmeyenli ve iki denklemden oluşan yatay sistem |
ax + by = e
cx + dy = f
denklemlerinden oluşan sisteme, iki bilinmeyenli ve iki denklemden oluşan bir doğrusal denklem sistemi adı verilir.
13.Soru
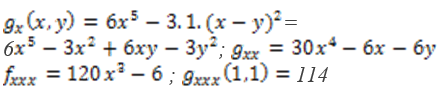
g(x,y)=x6-y6-(x-y)3 ise gxxx(1,1)+gyyy(1,1) işleminin sonucu aşağıdakilerden hangisine eşittir?
|
0 |
|
1 |
|
2 |
|
3 |
|
4 |
y sabit düşünülüp x’e göre art arda 3 kez türev alınırsa
olur. x sabit düşünülüp y’ye göre art arda 3 kez türev alınırsa
olur. gxxx(1,1)+gyyy(1,1) toplamı ise 0 olur.
14.Soru
y=4x+3 doğrusunun x eksenini kestiği nokta aşağıdakilerden hangisidir?
|
(0,3) |
|
(3,0) |
|
(3,3) |
|
(-3,0) |
|
(0,-3) |
Doğrunun x eksenini kestiği noktada x=0 olduğundan bu noktada y=3 olur. Dolayısıyla doğru x eksenini (0,3) noktasında keser.
15.Soru
|
9a |
|
9+a |
|
3+a |
|
3a |
|
a3 |
a = 3b ise 3b+2 = 3b. 32 = a.9= 9a bulunur. Doğru cevap A’dır.
16.Soru
Bir malın sabit üretim gideri 3000 lira, birim değişken gideri 2 liradır. Başa baş noktasının 375 olması için malın satış fiyatı aşağıdakilerden hangisi olmalıdır?
|
10
|
|
12
|
|
15
|
|
16
|
|
11
|
18.Soru
g(x,y) = 4x3 + 2y2 + 7 olduğuna göre gy(1,4) aşağıdakilerden hangisine eşittir?
|
4 |
|
8 |
|
12 |
|
22 |
|
16 |
x sabit olarak düşünülürse gy(x,y) = 2.2y1 + 7 olarak bulunur. Burada x yerine 1 y yerine 4 yazılırsa gy(1,4) = 2.2.41 = 16 elde edilir. Doğru cevap E ‘dir.
-
- 1.SORU ÇÖZÜLMEDİ
- 2.SORU ÇÖZÜLMEDİ
- 3.SORU ÇÖZÜLMEDİ
- 4.SORU ÇÖZÜLMEDİ
- 5.SORU ÇÖZÜLMEDİ
- 6.SORU ÇÖZÜLMEDİ
- 7.SORU ÇÖZÜLMEDİ
- 8.SORU ÇÖZÜLMEDİ
- 9.SORU ÇÖZÜLMEDİ
- 10.SORU ÇÖZÜLMEDİ
- 11.SORU ÇÖZÜLMEDİ
- 12.SORU ÇÖZÜLMEDİ
- 13.SORU ÇÖZÜLMEDİ
- 14.SORU ÇÖZÜLMEDİ
- 15.SORU ÇÖZÜLMEDİ
- 16.SORU ÇÖZÜLMEDİ
- 17.SORU ÇÖZÜLMEDİ
- 18.SORU ÇÖZÜLMEDİ