aof.sorular.net
Matematik 1
Matematik 1 Deneme Sınavı
Matematik 1 Deneme Sınavı Sorusu #592569
Matematik 1 Deneme Sınavı Sorusu #592569
A
0
B
1
C
2
D
3
E
4
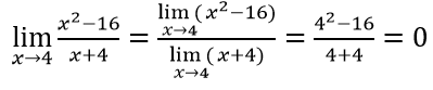
Yanıt Açıklaması:
olur. Böylece doğru cevap A seçeneğidir.
Yorumlar
0 Yorum
Alt Bilgi
© 2019
sorular.net
Bilgi
IOS Uygulamamız Güncellendi!
İndir
Geri