Matematik 1 Final 24. Deneme Sınavı
Toplam 19 Soru1.Soru
Bir manavda elmanın kilosu 5 TL, armudun kilosu 6 TL’dir. Manavda satılan elma ve armut miktarına göre, satış hasılatını bulan iki değişkenli fonksiyonu nedir?
|
g(x,y)=5x+6y
|
|
g(x,y)=11x+5
|
|
g(x,y)=5(x+y)+1
|
|
g(x,y)=5(x+y)+2x
|
|
g(x,y)=11(x+y)-21
|
2.Soru
|
|
|
|
|
|
|
|
|
|
Fonksiyonun birinci mertebeden türevi
olur. Doğru cevap A’dır.
3.Soru
Aşağıdakilerden hangisi y=3x-2 doğrusuna paraleldir?
|
y=6x-2 |
|
y=3x+2 |
|
y=x+3 |
|
y=-x+3 |
|
y=-3x+3 |
y=3x-2 doğrusunun ve y=3x+2 doğrusunun eğimleri aynı olduğundan paraleldirler.
4.Soru
a ? 0 olmak üzere f(x)= ax + b şeklinde ifade edilen fonksiyonlara verilen ad aşağıdakilerden hangisidir?
|
Birinci dereceden polinom |
|
İkinci dereceden polinom |
|
Birinci dereceden fonksiyon |
|
İkinci dereceden fonksiyon |
|
Birinci dereceden binom |
a ? 0 olmak üzere f(x)= ax + b şeklinde ifade edilen fonksiyonlara birinci dereceden bir polinom denir. Bu tür polinomlara doğrusal ya da lineer fonksiyonlar da denir.
5.Soru
Fonksiyonunun süreksiz noktası kaçtır?
|
-3 |
|
-2 |
|
-1 |
|
0 |
|
1 |
6.Soru
f(x,y)=exy ise, fx(x,y) aşağıdakilerden hangisidir?
|
yexy
|
|
exy
|
|
yex
|
|
xexy
|
|
xyexy
|
9.Soru
Talep edilen mal miktarıyla arz edilen miktarın eşit olduğu noktaya verilen ad aşağıdakilerden hangisidir?
|
Denge noktası |
|
Arz noktası |
|
Talep noktası |
|
İktisadi nokta |
|
Piyasa noktası |
Talep edilen mal miktarıyla arz edilen miktarın eşit olduğu noktaya denge noktası denir. Arz ve talep miktarının eşit olduğu noktada piyasa dengededir.
11.Soru
(3^2)^2 işlemi aşağıdakilerden hangisine eşittir?
|
270
|
|
54
|
|
81
|
|
18
|
|
243
|
12.Soru
Bir durumu belirleyen birden çok değişkenden bir tanesinin değişebileceği, diğer değişkenlerin ise sabit kalacağı varsayımına verilen ad aşağıdakilerden hangisidir?
|
Ceteris Paribus |
|
Talep |
|
Arz |
|
Başabaş |
|
Philips |
Bir durumu belirleyen birden çok değişkenden bir tanesinin değişebileceği, diğer değişkenlerin ise sabit kalacağı varsayımına ceteris paribus varsayımı denir.
13.Soru
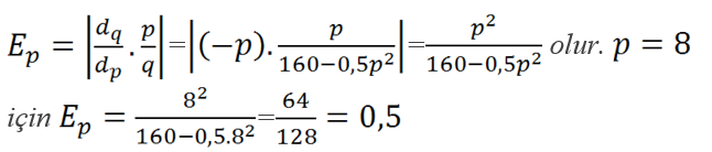
miktarı göstermek üzere bir malın talep fonksiyonu
olarak veriliyor. Fiyat
birim için talebin fiyat esnekliği aşağıdakilerden hangisidir?
|
0,4 |
|
0,5 |
|
0,6 |
|
0,7 |
|
0,8 |
Talebin fiyat esnekliği
olur. Dolayısıyla cevap B seçeneğidir.
14.Soru
Diğer değişkenler sabit olduğunda, belirli bir zaman aralığında piyasada tüketicilerin farklı fiyat düzeylerinde satın almaya hazır oldukları mal veya hizmet miktarına verilen ad aşağıdakilerden hangisidir?
|
Arz |
|
Denge |
|
Ceteris Paribus |
|
Başabaş |
|
Talep |
Diğer değişkenler sabit olduğunda, belirli bir zaman aralığında piyasada tüketicilerin farklı fiyat düzeylerinde satın almaya hazır oldukları mal veya hizmet miktarına talep denir.
15.Soru
fiyatı göstermek üzere, bir malın arz ve talep denklemleri
olarak veriliyor. Denge noktasında
değerlerinin toplamı kaçtır?
|
60 |
|
70 |
|
80 |
|
90 |
|
100 |
Her iki denklemde x yalnız bırakılırsa
denklemleri elde edilir. Buradan
olur. İkinci denklemde
yerine yazılırs
elde edilir. Denge noktası
değerlerinin toplamı ise
olur.Dolayısıyla cevap C seçeneğidir.
16.Soru
f(x,y)=2xy3-xy-x2 olarak veriliyor. fx(1,2)=?
|
1 |
|
2 |
|
4 |
|
8 |
|
12 |
f(x,y)=2xy3-xy-x2 olarak verilmiş. Öncelikle x değişkenine göre türev karşılığı bulunur.
fx(x,y)=2y3-y-2x
Bulunan bu fonksiyonda soruda istenen değerler yazılarak sonuca ulaşılır.
fx(1,2)=2.23-2-2.1=2.8-4=12
Doğru cevap E şıkkıdır.
17.Soru
|
0 |
|
1 |
|
2 |
|
3 |
|
4 |
olur. Böylece doğru cevap A seçeneğidir.
18.Soru
A=[1 2;2 1] ise A+2I2 işleminin sonucu aşağıdakilerden hangisidir?
|
[3 2;2 3] |
|
[2 3;3 2] |
|
[3 2;3 2] |
|
[2 3;2 3] |
|
[-1 2;2 -1] |
[3 2;2 3]
19.Soru
Aşağıdaki matrislerden hangisinin tersi yoktur?
|
|
|
|
|
|
|
|
|
|
Bir matrisin tersinin olabilmesi için determinantının sıfırdan farklı olması gerekir. Buna göre seçeneklerin determinantlarını incelemeliyiz.
-
- 1.SORU ÇÖZÜLMEDİ
- 2.SORU ÇÖZÜLMEDİ
- 3.SORU ÇÖZÜLMEDİ
- 4.SORU ÇÖZÜLMEDİ
- 5.SORU ÇÖZÜLMEDİ
- 6.SORU ÇÖZÜLMEDİ
- 7.SORU ÇÖZÜLMEDİ
- 8.SORU ÇÖZÜLMEDİ
- 9.SORU ÇÖZÜLMEDİ
- 10.SORU ÇÖZÜLMEDİ
- 11.SORU ÇÖZÜLMEDİ
- 12.SORU ÇÖZÜLMEDİ
- 13.SORU ÇÖZÜLMEDİ
- 14.SORU ÇÖZÜLMEDİ
- 15.SORU ÇÖZÜLMEDİ
- 16.SORU ÇÖZÜLMEDİ
- 17.SORU ÇÖZÜLMEDİ
- 18.SORU ÇÖZÜLMEDİ
- 19.SORU ÇÖZÜLMEDİ