Matematik 1 Deneme Sınavı Sorusu #595364
Bir tüketicinin satın almayı düşündüğü iki mal için harcayabileceği 600 TL’si vardır. Birinci malın fiyatı 15 TL, ikinci malın fiyatı ise 30 TL’dir. Bu tüketici birinci maldan tane, ikinci maldan da tane satın aldığında elde edeceği fayda,
fonksiyonu ile belirlenmiş olsun. Tüketicinin faydasını maksimum yapmak için satın alınacak ve miktarları ne olmalıdır?
|
|
|
|
|
|
|
|
|
|
Yanıt Açıklaması:
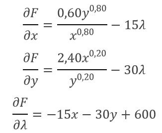
olur. Her bir değişkene göre kısmi türevler hesaplanacak olursa
elde edilir. Kısmi türevler 0’a eşitlenip denklem sistemi çözülecek olursa
elde edilir. O halde doğru cevap A’dır.
Yorumlar
- 0 Yorum