Matematik 1 Deneme Sınavı Sorusu #572023
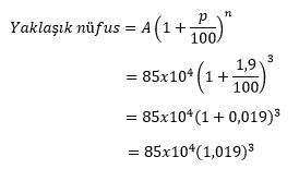
Yaklaşık 850000 nüfusa sahip Eskişehir'in nüfusu yıllık %1,9 oranında artmaktadır. Buna göre 3 yıl sonra Eskişehir'in nüfusu yaklaşık ne kadar olacaktır?
|
85x104x(1,019)3 |
|
85x103x(1,19)3 |
|
85x104x(1,0019)3 |
|
85x103x(0,019)3 |
|
85x(1,019)3 |
Yanıt Açıklaması:
Mevcut değeri A olan bir değişkenin, her dönemdeki artışı %p ise n dönem sonundaki artışını veren formülden yararlanarak, nüfusu yaklaşık 850000 (A=85x104) olan Eskişehir'in yıllık nüfuz artışı %1,9 (p=1,9) ise 3 yıl (n=3) sonraki yaklaşık nüfusu aşağıdaki gibi hesaplanır.
Yorumlar
- 0 Yorum