Matematik 1 Final 3. Deneme Sınavı
Toplam 19 Soru1.Soru
x miktarı ve p fiyatı göstermek üzere, kar fonksiyonunun türevine verilen ad aşağıdakilerden hangisidir?
|
Marjinal kar |
|
Başabaş noktası |
|
Denge sabiti |
|
Arz noktası |
|
Talep noktası |
x miktarı ve p fiyatı göstermek üzere, kar fonksiyonunun türevine marjinal kar denir.
2.Soru
matrisinin tersi aşağıdakilerden hangisidir?
|
|
|
|
|
|
|
|
|
|
Bir matrisin tersinin olabilmesi için o matrisin determinantının sıfırdan farklı olması gerekir. Önce A matrisinin determinantını hesaplayalım.
olduğu için tersi vardır.
olur.
3.Soru
g(x,y)=xy3-2y ise gy(1,-2) aşağıdakilerden hangisine eşittir?
|
2 |
|
4 |
|
6 |
|
8 |
|
10 |
x sabit düşünülüp y’ye göre türev alınırsa, gy(x,y)=3xy2-2 olarak bulunur. x yerine 1, y yerine -2 yazılırsa gy(1,-2) = 10 olur.
4.Soru
x mal miktarı olmak üzere malın gelir fonksiyonu R(x)=800x-10
‘dir. Buna göre marjinal gelir fonksiyonu nedir?
|
20x2 |
|
20x |
|
800 |
|
800-20x |
|
800-20x2 |
Türev fonksiyonu marjinal gelir fonksiyonunu verir. Bu durumda, marjinal gelir fonksiyonu R’(x)=800-20x olarak elde edilir. Doğru cevap D’dir.
7.Soru
Bir malın sabit üretim gideri 10000 lira, birim değişken gideri 5 liradır. Başa baş noktasının 500 olması için malın satış fiyatı aşağıdakilerden hangisi olmalıdır?
|
25
|
|
16
|
|
15
|
|
12
|
|
11
|
8.Soru
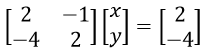
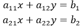
2x-y=2
-4x+2y=-4
Yukarıdaki denklem sisteminin matris formundaki yazılışı aşağıdakilerden hangisidir?
|
|
|
|
|
|
|
|
|
|
Verilen bir denklem sistemini matrisler yardımı ile ifade edebiliriz.
doğrusal denklem sistemini matris çarpımı kullanarak yazarsak
A.X=B olur. Her doğrusal denklem sistemi, A katsayılar matrisi, X değişkenlerin sütun matrisi ve B eşitliğin ikinci yanındaki sayıların sütun matrisi olmak üzere A·X = B biçiminde yazılabilir. Bu durumda verilen denklem sistemi
şeklinde gösterilebilir.
9.Soru
fonksiyonu hangi aralıkta azalandır?
|
|
|
|
|
|
|
|
|
|
fonksiyonun azalan olduğu aralığı bulabilmek için türevini alıp fonksiyonun işaretinin negatif olduğu kümeyi bulmalıyız.
aralığıdır. Doğru cevap C’dir.
10.Soru
f(x)=4x2-ax+6 fonksiyonu x=2 noktasında sürekli ve
olduğuna göre a kaçtır?
|
16 |
|
14 |
|
11 |
|
10 |
|
9 |
ise 22-2a=4 buradan a=9 olarak ifade bulunur.
11.Soru
Yaklaşık 850000 nüfusa sahip Eskişehir'in nüfusu yıllık %1,9 oranında artmaktadır. Buna göre 3 yıl sonra Eskişehir'in nüfusu yaklaşık ne kadar olacaktır?
|
85x104x(1,019)3 |
|
85x103x(1,19)3 |
|
85x104x(1,0019)3 |
|
85x103x(0,019)3 |
|
85x(1,019)3 |
Mevcut değeri A olan bir değişkenin, her dönemdeki artışı %p ise n dönem sonundaki artışını veren formülden yararlanarak, nüfusu yaklaşık 850000 (A=85x104) olan Eskişehir'in yıllık nüfuz artışı %1,9 (p=1,9) ise 3 yıl (n=3) sonraki yaklaşık nüfusu aşağıdaki gibi hesaplanır.
12.Soru
f(x)=ax²+bx+c parabolünün tepe noktasından geçen teğetinin eğimi nedir?
|
0
|
|
-1
|
|
1.5
|
|
2
|
|
0.5
|
13.Soru
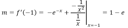
f(x)=e-x+ln (1/x) fonksiyonunun x=-1 noktasındaki teğetinin eğimi kaçtır?
|
e-1-1 |
|
e-1 |
|
1-e |
|
e-1+1 |
|
e |
x=-1 noktasındaki teğetin eğimi m olsun.
olur.
14.Soru
x=1 noktası f(x)=ax-4x^2 fonksiyonunun bir yerel ekstremum noktası ise a değeri aşağıdakilerden hangisi olabilir?
|
9
|
|
8
|
|
7
|
|
6
|
|
5
|
15.Soru
Bir ceketin fiyatı 200 TL iken bu cekete 1 talep varken, fiyat 100 TL ye indiğinde talep 3 e çıkmaktadır. Aşağıdakilerden hangisi ceketin fiyat-talep doğrusunun eğimidir?
|
-50
|
|
-25
|
|
-30
|
|
-20
|
|
-15
|
17.Soru
Yukarıda verilen fonksiyon için
aşağıdakilerden hangisine eşittir?
|
11 |
|
13 |
|
1 |
|
3 |
|
4 |
(f^-1)(x)=(x+1)/4
(f^-1)(3)=(3+1)/4=1
18.Soru
Bir malın veya hizmetin satılmak istenen miktarı ile fiyatı arasındaki doğru yönlü ilişkiye verilen ad aşağıdakilerden hangisidir?
|
Talep |
|
Arz |
|
Talep kanunu |
|
Arz kanunu |
|
Ceteris paribus |
Bir malın veya hizmetin satılmak istenen miktarı ile fiyatı arasındaki doğru yönlü ilişki, arz kanunu olarak adlandırılır.
-
- 1.SORU ÇÖZÜLMEDİ
- 2.SORU ÇÖZÜLMEDİ
- 3.SORU ÇÖZÜLMEDİ
- 4.SORU ÇÖZÜLMEDİ
- 5.SORU ÇÖZÜLMEDİ
- 6.SORU ÇÖZÜLMEDİ
- 7.SORU ÇÖZÜLMEDİ
- 8.SORU ÇÖZÜLMEDİ
- 9.SORU ÇÖZÜLMEDİ
- 10.SORU ÇÖZÜLMEDİ
- 11.SORU ÇÖZÜLMEDİ
- 12.SORU ÇÖZÜLMEDİ
- 13.SORU ÇÖZÜLMEDİ
- 14.SORU ÇÖZÜLMEDİ
- 15.SORU ÇÖZÜLMEDİ
- 16.SORU ÇÖZÜLMEDİ
- 17.SORU ÇÖZÜLMEDİ
- 18.SORU ÇÖZÜLMEDİ
- 19.SORU ÇÖZÜLMEDİ