Matematik 1 Deneme Sınavı Sorusu #541891

matrisinin tersi aşağıdakilerden hangisidir?



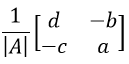
Yanıt Açıklaması:

matrisinin tersi

olmak koşuluyla

dir .

olup,

olarak bulunur.

Yorumlar
  • 0 Yorum