Matematik 1 Final 30. Deneme Sınavı
Toplam 20 Soru1.Soru
A ∩ B ≠ ∅ ise verilen seçeneklerden hangisi her zaman doğrudur?
|
A\B = ∅
|
|
A ve B ayrık kümelerdir
|
|
A⊂B
|
|
A ∪ B = A
|
|
A ≠ ∅
|
2.Soru
kaçtır?
|
|
|
|
|
|
|
0 |
|
1 |
Çarpımın türevi kuralından
olur.
deki değeri
olarak elde edilir. Dolayısıyla doğru cevap B seçeneğidir.
3.Soru
f(x)=x(ax+1) fonksiyonunun x=1 apsisli noktasındaki teğetinin eğimi 5 olduğuna göre a gerçel sayısı kaça eşittir?
|
0
|
|
1
|
|
2
|
|
3
|
|
4
|
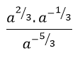
4.Soru
işleminin sonucu aşağıdakilerden hangisidir?
|
a1/2 |
|
a |
|
1 |
|
a-2 |
|
a2 |
Üslü sayıların özelliklerini kullanarak,
olarak elde edilir.
5.Soru
Aşağıdakilerden hangisi log2(x2/(1-x))=2 ifadesinde yer alan x'in aldığı değerlerden birisidir?
|
-2+2√2 |
|
2-2√2 |
|
2√2 |
|
-2√2 |
|
2 |
log2(x2/(1-x))=2 ise (x2/(1-x))=4 yani x2+4x-4=0 olur. Denklemin kökleri -2±√2'dir.
7.Soru
Yalnızca 3. mertebeden kare matrislerin determinantlarının hesaplandığı kural aşağıdakilerden hangisidir?
|
Sarrus kuralı |
|
Cramer kuralı |
|
Adler kuralı |
|
Pavlov kuralı |
|
Thales kuralı |
Yalnızca 3. mertebeden kare matrislerin determinantlarının hesaplandığı kural Sarrus kuralıdır.
8.Soru
parabolünün tepe noktası aşağıdakilerden hangisidir?
|
(-1,0) |
|
(-1,-1) |
|
(1.2) |
|
(1.-1) |
|
(-1.1) |
9.Soru
f(x) = 2 sabit fonksiyonunun x = -3 noktasındaki türevi aşağıdakilerden hangisidir?
|
-3
|
|
0
|
|
1
|
|
2
|
|
3
|
10.Soru
matrisinin tersi aşağıdakilerden hangisidir?
|
|
|
|
|
|
|
|
|
|
matrisinin tersi
olmak koşuluyla
dir .
olup,
olarak bulunur.
11.Soru
f(x)=exp(2x2) ise f"(0) aşağıdakilerden hangisidir?
|
4 |
|
2 |
|
0 |
|
1 |
|
16 |
f'(x)=4x∙exp(2x2); f"(x)=4exp(2x2)+4x∙4x∙exp(2x2) olur ve x=0için bu ifade 4'e eşittir.
12.Soru
50000 kişinin yaşadığı bir şehirde nüfus her yıl %2 artmaktadır. Aşağıdaki ifadelerden hangisi 2 yıl sonraki şehrin nüfusunu verir?
|
50000+50000x(0,0202)2
|
|
50000x(1,20)2
|
|
50000x(1,04)2
|
|
50000x(0,2)2
|
|
50000x(0,02)2
|
13.Soru
olmak üzere
ise x ne olmalıdır?
|
-1 |
|
0 |
|
1 |
|
2 |
|
3 |
eşitliğinden x=3 olduğu görülür.
14.Soru
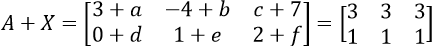
olmak üzere A+X=B ise X aşağıdakilerden hangisidir?
|
|
|
|
|
|
|
|
|
|
olmak üzere
’dir. İki matrisin eşitliğinden
3+a=3 ise a=0, -4+b=3 ise b=7, c+7=3 ise c=-4, d=1, 1+e=1 ise e=0, 2+f=1 ise f=-1 elde ederiz ve
bulunur.
15.Soru
f(x)=2x2-x+5 fonksiyonunun x=2 apsisli noktasındaki teğetinin eğimi aşağıdakilerden hangisidir?
|
7 |
|
5 |
|
2 |
|
4 |
|
3 |
f'(x)=4x-1 olur ve x yerine 1 konursa 4∙2-1=7 bulur
16.Soru
50 milyon TL yıllık
bileşik faizle 5 yıl sonunda kaç lira olur?
|
|
|
|
|
|
|
|
|
|
olarak elde edilir. Dolayısıyla doğru cevap A seçeneğidir.
17.Soru
Diğer değişkenler sabit olduğunda, belirli bir zaman aralığında piyasada tüketicilerin farklı fiyat düzeylerinde satın almaya hazır oldukları mal veya hizmet miktarına ne denir?
|
Piyasa dengesi
|
|
Başa-baş analizi
|
|
Talep
|
|
Arz
|
|
Arz fazlası
|
18.Soru
Bir malın sabit üretim giderleri 10000 TL, birim değişken maliyet 2,5 TL ve satış fiyatı 6,5 TL ise işletmenin zarar etmemesi için satış miktarının en az kaç olması gerekir?
|
2200 |
|
2300 |
|
2400 |
|
2500 |
|
2600 |
Toplam maliyetin toplam gelire eşit olduğu noktaya baş-başa noktası (ne kar ne de zararın olduğu nokta) denir. Sabit üretim giderleri
ve malın satış fiyatı
olduğundan başa-baş satış miktarı
elde edilir. Buradan doğru cevap D’dir.
20.Soru
A=[ 1 4 7;2 5 8;3 6 9] ve B=[1 2 3;0 1 0;-1 0 -2] olsun. A+B aşağıdakilerden hangisidir?
|
[2 6 10;2 6 8;2 6 7] |
|
[2 4 6;4 6 6;6 8 7] |
|
[4 7 6;2 8 10;6 6 6] |
|
[2 6 2;2 8 6;4 10 8] |
|
[5 8 2;7 9 4;6 10 3] |
[2 6 10;2 6 8;2 6 7]
-
- 1.SORU ÇÖZÜLMEDİ
- 2.SORU ÇÖZÜLMEDİ
- 3.SORU ÇÖZÜLMEDİ
- 4.SORU ÇÖZÜLMEDİ
- 5.SORU ÇÖZÜLMEDİ
- 6.SORU ÇÖZÜLMEDİ
- 7.SORU ÇÖZÜLMEDİ
- 8.SORU ÇÖZÜLMEDİ
- 9.SORU ÇÖZÜLMEDİ
- 10.SORU ÇÖZÜLMEDİ
- 11.SORU ÇÖZÜLMEDİ
- 12.SORU ÇÖZÜLMEDİ
- 13.SORU ÇÖZÜLMEDİ
- 14.SORU ÇÖZÜLMEDİ
- 15.SORU ÇÖZÜLMEDİ
- 16.SORU ÇÖZÜLMEDİ
- 17.SORU ÇÖZÜLMEDİ
- 18.SORU ÇÖZÜLMEDİ
- 19.SORU ÇÖZÜLMEDİ
- 20.SORU ÇÖZÜLMEDİ