Matematik 1 Deneme Sınavı Sorusu #592695

kaçtır?


0

1


Yanıt Açıklaması:

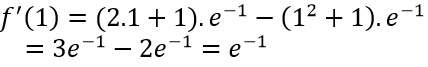
Çarpımın türevi kuralından

olur.

deki değeri

olarak elde edilir. Dolayısıyla doğru cevap B  seçeneğidir.

Yorumlar
  • 0 Yorum