Matematik 1 Deneme Sınavı Sorusu #595834
işleminin sonucu aşağıdakilerden hangisine eşittir?
|
0 |
|
1 |
|
2 |
|
3 |
|
4 |
Yanıt Açıklaması:
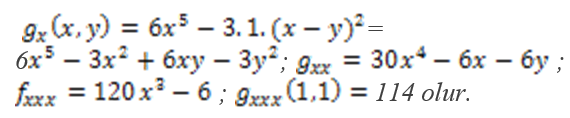
y sabit düşünülüp x’e göre art arda 3 kez türev alınırsa
x sabit düşünülüp y’ye göre art arda 3 kez türev alınırsa
toplamı ise 0 olur. Dolayısıyla cevap A seçeneğidir.
Yorumlar
- 0 Yorum