Matematik 1 Final 6. Deneme Sınavı
Toplam 17 Soru2.Soru
ise a değeri aşağıdakilerden hangisidir?
|
1/3 |
|
2/3 |
|
4/3 |
|
3 |
|
2 |
ise 12a+8=12, a=1/3 olarak bulunur.
3.Soru
Çok değişkenli fonksiyonlarda yerel maksimum hangi noktalara karşılık gelir?
|
Kısmi türevi 0 yapan değerlerdir.
|
|
Kısmi türevi sonsuz yapan değerlerdir.
|
|
Kısmi türevi sıfırdan farklı değer yapan değerler kümesidir.
|
|
İkinci türevi negatif yapan değerlerdir.
|
|
İkinci türevi pozitif yapan değerlerdir.
|
4.Soru
matrisi aşağıdakilerden hangisidir?
|
|
|
|
|
|
|
|
|
|
olduğundan doğru cevap B’dir.
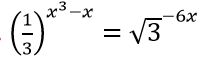
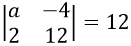
5.Soru
denkleminin çözüm kümesi aşağıdakilerden hangisidir?
|
|
|
|
|
|
|
|
|
|
olarak yazabiliriz. Eşitliğin sağ tarafında kesirli ifade üs şeklinde yazılmış, sol tarafında ise karekök üs şeklinde yazılmıştır. Verilen ifadede tabanlar aynı üsleri eşitlersek,
Olur. Buradan
olarak bulunur. Dolayısıyla doğru cevap E seçeneğidir.
6.Soru
5000 kişilik bir ilçenin nüfusu her yıl %2 artığına göre 2 yıl sonraki nüfus artış miktarı aşağıdakilerden hangisidir?
|
203
|
|
202
|
|
201
|
|
200
|
|
189
|
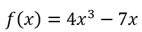
7.Soru
fonksiyonunun
noktasındaki teğetinin eğimi aşağıdakilerden hangisidir?
|
62 |
|
58 |
|
41 |
|
35 |
|
20 |
Teğetinin eğimi fonksiyonun
noktasındaki türevidir.
olarak elde edilir. Bu nedenle doğru cevap C seçeneğidir.
8.Soru
aşağıdakilerden hangisidir?
|
|
|
|
|
|
|
|
|
|
olarak elde edilir. Dolayısıyla doğru cevap D seçeneğidir.
9.Soru
3x + y = 6 ve x + 2y = 7 ise x kaçtır?
|
5 |
|
4 |
|
3 |
|
2 |
|
1 |
3x + y = 6
x + 2y = 7
2 / 3x + y = 6
-1 / x + 2y = 7
6x + 2y = 12
-x + -2y = -7
5x = 5
x = 1 olur.
10.Soru
Aşağıdaki sayıların hangisi en büyüktür?
|
lne^3
|
|
log25
|
|
log5
|
|
log1
|
|
lne
|
11.Soru
aşağıdakilerden hangisine eşittir?
|
2 |
|
4 |
|
6 |
|
8 |
|
10 |
x sabit düşünülüp y’ye göre türev alınırsa,
olarak bulunur. x yerine 1, y yerine -2 yazılırsa
olur. Dolayısıyla cevap E seçeneğidir.
12.Soru
x + 2y -z =1
x + y + z =2
x - y + 2z =3
sisteminin çözümü aşağıdakilerden hangisidir?
|
x=2 y=-1/3 z=1/3 |
|
x=-2 y=1/3 z=-1/3 |
|
x=2 y=1/3 z=1/3 |
|
x=-2 y=-1/3 z=-1/3 |
|
x=2/3 y=1 z=-1/3 |
x=2 y=-1/3 z=1/3
13.Soru
|
14 |
|
9 |
|
4 |
|
1 |
|
-1 |
Öncelikle aşağıdaki şekilde ters fonksiyon bulunur.
9 sayısı ters fonksiyonda yerine yazılarak cevap bulunur.
14.Soru
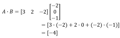
A=[3 2 -2] ve
ise A.B=?
|
|
|
|
|
[-4] |
|
[1] |
|
[0] |
olur.
15.Soru
f(x)=x ve g(x)=1 ise (f-g)(x)=?
|
1-x
|
|
x
|
|
x-1
|
|
0
|
|
1
|
16.Soru
fonksiyonunun kritik noktası aşağıdakilerden hangisidir?
|
|
|
|
|
|
|
|
|
|
denklemlerinin her ikisini birden sağlayan
noktasını arıyoruz.
olduğundan
denklemleri ortak çözülmelidir. Bu denklemler ortak çözülürse
elde edilir. Buradan doğru cevap C olur.
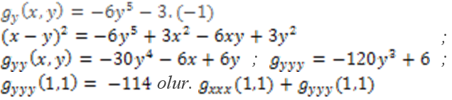
17.Soru
işleminin sonucu aşağıdakilerden hangisine eşittir?
|
0 |
|
1 |
|
2 |
|
3 |
|
4 |
y sabit düşünülüp x’e göre art arda 3 kez türev alınırsa
x sabit düşünülüp y’ye göre art arda 3 kez türev alınırsa
toplamı ise 0 olur. Dolayısıyla cevap A seçeneğidir.