Matematik 2 Deneme Sınavı Sorusu #392476

doğrusu ile sınırlı bölgenin alanı kaç br²’dir?


1/6

1/5

1/4

1/3

1/2


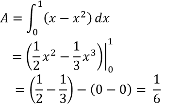
Yanıt Açıklaması:

Alanı hesaplamak için önce bölgenin sınırlarını belirlemek gereklidir.

olarak elde edilir.

Yorumlar
  • 0 Yorum