Matematik 2 Ara 11. Deneme Sınavı
Toplam 19 Soru1.Soru
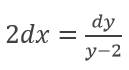
diferansiyel denkleminin genel çözümü aşağıdakilerden hangisidir?
|
|
|
|
|
|
|
|
|
|
olduğundan
bulunur.
3.Soru
doğrusu ile sınırlı bölgenin alanı kaç br²’dir?
|
1/6 |
|
1/5 |
|
1/4 |
|
1/3 |
|
1/2 |
Alanı hesaplamak için önce bölgenin sınırlarını belirlemek gereklidir.
olarak elde edilir.
5.Soru
3y-2x-6?0, x?0, y?0 eşitsizliklerinin tümünü sağlayan nokta aşağıdakilerden hangisidir?
|
(0, 3)
|
|
(-1, 2)
|
|
(-3, 4)
|
|
(1, 4)
|
|
(1, 1)
|
7.Soru
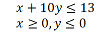
Aşağıdaki noktalardan hangisi
eşitsizliklerinin hepsini birden sağlar?
|
(13,2) |
|
(-1,1) |
|
(-1,-1) |
|
(0,1) |
|
(10,-1) |
(10,-1) noktası tüm eşitsizlikleri sağlar: x+10y=10+10(-1)=0<13, 10>0 ve -1<0.
8.Soru
x miktarı ve p fiyatı göstermek üzere, bir malın talep fonksiyonu p1 =(x-3)^2 , arz fonksiyonu p2 =(x+1)^2 ise tüketici rantı nedir?
|
1
|
|
1,66
|
|
2
|
|
2,33
|
|
4
|
9.Soru
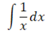
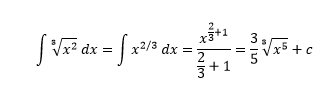
integralinin sonucu aşağıdakilerden hangisidir?
|
|
|
|
|
|
|
|
|
|
x>0 iken
olur.
11.Soru
diferansiyel denkleminin y(0)=1 koşulunu sağlayan çözümü aşağıdakilerden hangisidir?
|
|
|
|
|
|
|
|
|
|
ise
olur. Her iki tarafın integrali alınırsa,
elde edilir. Buradan y(0)=1 koşulu uygulanırsa elde edilir. O halde çözüm,
olup, y(0)=1 koşulunu sağlayan çözüm
olur.
12.Soru
Aşağıdaki noktalardan hangisi 2x+4y?8 eşitsizliğini sağlar
|
(3,5)
|
|
(4,5)
|
|
(3,4)
|
|
(1,1)
|
|
(0,4)
|
14.Soru
f(x, y)=5x+10y amaç fonksiyonunun 2x+y?4, 3x+4y?12, x?0, y?0 eşitsizlikleriyle verilen küme üzerindeki maksimum değeri veren nokta aşağıdakilerden hangisidir?
|
(0,4)
|
|
(0,0)
|
|
(0,3)
|
|
(2,0)
|
|
(4/5, 12/5 )
|
15.Soru
Sonsuz seçenekli bir durumda sonlu tane nokta kontrol edilerek bizi çözüme ulaştıran metod aşağıdakilerden hangisidir?
|
Doğrusal programlama |
|
Alan |
|
Matris |
|
Denklem sistemi |
|
Çözüm kümesi |
Doğrusal programlama yardımıyla yaptığımız modelleme bize sonsuz seçenekli bir durumda sonlu tane noktanın kontrol edilmesiyle çözüme nasıl ulaştığımızı da göstermiş olur.
16.Soru
Bir firma şarjlı ve şarjsız iki tür pil üretiyor. Firma pilleri üretirken A ve B makinelerini kullanıyor. Şarjsız pil üretirken bir günde A’nın 10 saat, B’nin 5 saat çalışması gerekiyor. Şarjlı pil üretirken ise bir günde A’nın 8 saat, B’nin 5 saat çalışması gerekiyor. A ve B’nin aylık çalışma saatleri en fazla 180 ve 150 dir. Firma üretilen 1 adet şarjsız pilden 5 TL, şarjlı pilden 5 TL kar elde ediyor. Firmanın günlük karını en büyük yapmak için her bir pilden kaç tane üretilmelidir?
|
31 |
|
30 |
|
29 |
|
28 |
|
27 |
| Çalışma saatleri | A | B | Birim Kar (TL) |
| Şarjsız pil için günlük süre (sa) | 10 | 5 | 5 |
| Şarjlı pil için günlük süre (sa) | 8 | 5 | 3 |
| Aylık | 180 | 150 |
x: Bir günde üretilen şarjsız pil (adet)
y: Bir günde üretilen şarjlı pil (adet)
Olmak üzere Amaç fonksiyonu f(x,y)=5x+2y ve kısıtlar şeklindedir. Tanım kümesinin köşe noktaları: (0,0), (6,0), (5,2) ve (0,10) olur. Amaç fonksiyonunun bu köşe noktalarındaki değeri hesaplanırsa en büyük değerini (5,2) noktasında aldığı görülür. Buna göre 31 tane üretilmelidir.
17.Soru
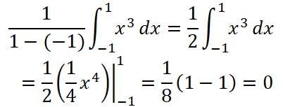
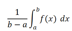
f(x)=x3 fonksiyonunun [-1,1] aralığı üzerindeki ortalama değeri aşağıdakilerden hangisidir?
|
2 |
|
1 |
|
0 |
|
-1 |
|
-2 |
[a,b] aralığında sürekli bir f fonksiyonunun ortalama değeri
olarak hesaplanır. Buna göre f(x)=x3 fonksiyonunun [-1,1] aralığı üzerindeki ortalama değeri
olur.
18.Soru
x miktarı ve p fiyatı göstermek üzere bir malın arz fonksiyonu p=x+6 biçiminde verilmiştir. Piyasa fiyatı 8 olduğuna göre üretici rantı aşağıdakilerden hangisidir?
|
6 |
|
17 |
|
12 |
|
13 |
|
9 |
-
- 1.SORU ÇÖZÜLMEDİ
- 2.SORU ÇÖZÜLMEDİ
- 3.SORU ÇÖZÜLMEDİ
- 4.SORU ÇÖZÜLMEDİ
- 5.SORU ÇÖZÜLMEDİ
- 6.SORU ÇÖZÜLMEDİ
- 7.SORU ÇÖZÜLMEDİ
- 8.SORU ÇÖZÜLMEDİ
- 9.SORU ÇÖZÜLMEDİ
- 10.SORU ÇÖZÜLMEDİ
- 11.SORU ÇÖZÜLMEDİ
- 12.SORU ÇÖZÜLMEDİ
- 13.SORU ÇÖZÜLMEDİ
- 14.SORU ÇÖZÜLMEDİ
- 15.SORU ÇÖZÜLMEDİ
- 16.SORU ÇÖZÜLMEDİ
- 17.SORU ÇÖZÜLMEDİ
- 18.SORU ÇÖZÜLMEDİ
- 19.SORU ÇÖZÜLMEDİ