aof.sorular.net
Matematik 2
Matematik 2 Deneme Sınavı
Matematik 2 Deneme Sınavı Sorusu #399170
Matematik 2 Deneme Sınavı Sorusu #399170
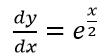
diferansiyel denkleminin genel çözümü aşağıdakilerden hangisidir?
A
B
C
D
E
Yanıt Açıklaması:
olduğundan
bulunur.
Yorumlar
0 Yorum
Alt Bilgi
© 2019
sorular.net
Bilgi
IOS Uygulamamız Güncellendi!
İndir
Geri