aof.sorular.net
Matematik 2
Matematik 2 Deneme Sınavı
Matematik 2 Deneme Sınavı Sorusu #456226
Matematik 2 Deneme Sınavı Sorusu #456226
A
x/3 + c
B
(x
2
/3) + c
C
(x
2
+3x)/3 +c
D
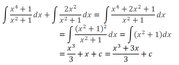
(x
3
+3x)/3 +c
E
(x
4
+3x)/3+c
Yanıt Açıklaması:
Yorumlar
0 Yorum
Alt Bilgi
© 2019
sorular.net
Bilgi
IOS Uygulamamız Güncellendi!
İndir
Geri