Matematik 2 Ara 17. Deneme Sınavı
Toplam 20 Soru1.Soru
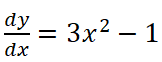
|
x/3 + c |
|
(x2/3) + c |
|
(x2+3x)/3 +c |
|
(x3 +3x)/3 +c |
|
(x4+3x)/3+c |
2.Soru
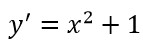
diferansiyel denkleminin x=0 için y=0 başlangıç değerine sahip çözümü aşağıdakilerde hangisidir?
|
|
|
x |
|
|
|
|
|
|
diferansiyel denkleminde her iki tarafın x’e göre integrali alınırsa
olur. x=0 için y=0 başlangıç değeri verildiğinden 0=0+c eşitliğinden c=0 elde edilir. Bu durumda diferansiyel denklemin verilen başlangıç değerine sahip çözümü
3.Soru
Belirli bir zaman aralığında piyasada üreticilerin, değişik fiyat düzeyinde satmaya istekli oldukları mal veya hizmet miktarına ne ad verilir?
|
Üretici Rantı |
|
Arz |
|
Tüketici rantı |
|
Toplumsal fayda |
|
Lorenz eğrisi |
Belirli bir zaman aralığında piyasada üreticilerin, değişik fiyat düzeyinde satmaya istekli oldukları mal veya hizmet miktarına arz denir.
5.Soru
x miktarı ve p fiyatı göstermek üzere bir malın arz fonksiyonu p= 2x+5 şeklinde verilmiştir. Piyasa fiyatı 9 olduğuna göre üretici rantı aşağıdakilerden hangisidir?
|
6
|
|
4
|
|
7
|
|
5
|
|
8
|
8.Soru
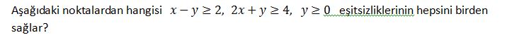
Aşağıdaki noktalardan hangisi -x+3y ? 14 eşitsizliğini sağlar?
|
(-2, 3)
|
|
(2, 3)
|
|
(3, 5)
|
|
(5, 9)
|
|
(6, 4 )
|
9.Soru
Aşağıdakilerden hangisi bir diferansiyel denklem örneği değildir?
|
|
|
|
|
|
|
|
|
|
Birinci mertebeden bir diferansiyel denklem, bağımlı değişken y, bağımsız değişken x ve bağımlı değişkenin x’e göre türevi dy/dx ya da başka bir gösterimle y' ifadelerini içerir.
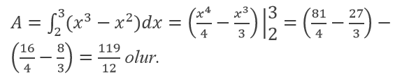
10.Soru
ve yanlardan x=2 ve x=3 doğrusu ile sınırlı bölgenin alanı kaç br’dir?
|
109/12 |
|
119/12 |
|
139/12 |
|
149/12 |
|
169/12 |
İstenilen bölgenin alanı
11.Soru
Üstten y=1-x2 parabolü ve alttan x – ekseni ile sınırlı bölgenin alanı kaç br²’dir?
|
1/3 |
|
2/3 |
|
1 |
|
4/3 |
|
5/3 |
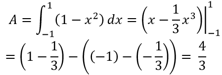
Alanı hesaplanması istenen bölge, x- eksenini x=-1 ve x=1 noktalarında kesen ve kolları aşağı bakan parabol ile x-ekseni arasında kalan bölgedir. Söz konusu bölgenin alanı,
13.Soru
diferansiyel denkleminin y(1)=2 koşuluna uyan çözümü aşağıdakilerden hangisidir?
|
|
|
|
|
|
|
|
|
|
Diferansiyel denklemin genel çözümü
denkleminden c=2/3 bulunur.
diferansiyel denkleminin y(1)=2 koşuluna uyan çözümü
olarak bulunur.
14.Soru
Bir firma 200000 nüfuslu bir bölgede yayın yapan yerel bir radyoda reklam veriyor. Bir saat içinde 10000 kişinin yapılan reklamlardan haberdar olduğu biliniyorsa reklamın yayınlanmasından 8 saat sonra bu reklamdan yaklaşık olarak kaç kişinin haberdar olacağını hesaplayınız.
|
52000
|
|
59000
|
|
67000
|
|
76000
|
|
80000
|
15.Soru
diferansiyel denkleminin y(0)=-1 koşulunu sağlayan çözümü aşağıdakilerden hangisidir?
|
|
|
|
|
|
|
|
|
|
İfadenin her iki tarafının integralini alırsak
elde ederiz. y(0)=-1 olduğundan c=-1 bulunur. Böylece
elde edilir.
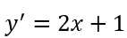
16.Soru
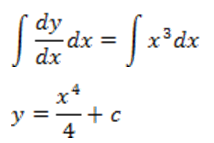
diferansiyel denkleminin genel çözümü aşağıdakilerden hangisidir?
|
|
|
|
|
|
|
|
|
|
ise
19.Soru
ile sınırlı bölgenin alanı kaç br²’dir?
|
1/3 |
|
2/3 |
|
1 |
|
4/3 |
|
5/3 |
Alanı hesaplanması istenen bölge, x- eksenini x=-1 ve x=1 noktalarında kesen ve kolları aşağı bakan parabol ile x-ekseni arasında kalan bölgedir. Söz konusu bölgenin alanı,
olarak elde edilir.
-
- 1.SORU ÇÖZÜLMEDİ
- 2.SORU ÇÖZÜLMEDİ
- 3.SORU ÇÖZÜLMEDİ
- 4.SORU ÇÖZÜLMEDİ
- 5.SORU ÇÖZÜLMEDİ
- 6.SORU ÇÖZÜLMEDİ
- 7.SORU ÇÖZÜLMEDİ
- 8.SORU ÇÖZÜLMEDİ
- 9.SORU ÇÖZÜLMEDİ
- 10.SORU ÇÖZÜLMEDİ
- 11.SORU ÇÖZÜLMEDİ
- 12.SORU ÇÖZÜLMEDİ
- 13.SORU ÇÖZÜLMEDİ
- 14.SORU ÇÖZÜLMEDİ
- 15.SORU ÇÖZÜLMEDİ
- 16.SORU ÇÖZÜLMEDİ
- 17.SORU ÇÖZÜLMEDİ
- 18.SORU ÇÖZÜLMEDİ
- 19.SORU ÇÖZÜLMEDİ
- 20.SORU ÇÖZÜLMEDİ