Matematik 2 Deneme Sınavı Sorusu #456314
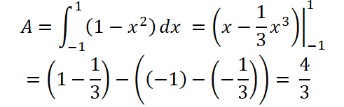
Üstten y=1-x2 parabolü ve alttan x – ekseni ile sınırlı bölgenin alanı kaç br²’dir?
|
1/3 |
|
2/3 |
|
1 |
|
4/3 |
|
5/3 |
Yanıt Açıklaması:
Alanı hesaplanması istenen bölge, x- eksenini x=-1 ve x=1 noktalarında kesen ve kolları aşağı bakan parabol ile x-ekseni arasında kalan bölgedir. Söz konusu bölgenin alanı,
Yorumlar
- 0 Yorum