Matematik 2 Deneme Sınavı Sorusu #456329
f(x)=1/x fonksiyonunun [e, e2] aralığı üzerindeki ortalama değeri aşağıdakilerden hangisidir?
|
1/e |
|
1/(e-1) |
|
|
|
|
|
|
Yanıt Açıklaması:
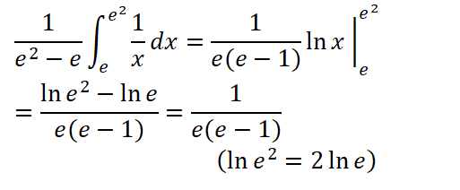
[a,b] aralığında sürekli bir f fonksiyonunun ortalama değeri
olarak hesaplanır. Buna göre f(x)=1/x fonksiyonunun [e,e²] aralığı üzerindeki ortalama değeri
olur.
Yorumlar
- 0 Yorum