Matematik 2 Ara 19. Deneme Sınavı
Toplam 20 Soru2.Soru
Belirli bir zaman diliminde, bireyin diğer mal ve hizmetlerden olan tüketimi sabit iken, bir malın çeşitli miktarda tüketilmesi sonucu ulaşılan tatmin düzeyine ne ad verilir?
|
Talep
|
|
Arz
|
|
Toplam Fayda
|
|
Üretici Rantı
|
|
Tüketici Rantı
|
3.Soru
f ve g, [a,b] aralığında sürekli fonksiyonlar, k bir reel sayı ve a İntegrant iki fonksiyonun çarpımı biçimindeyse bunların integrali çarpıma giren fonksiyonların integrallerinin çarpımına eşit olmak zorunda değildir. Örneğin olur.
5.Soru
y=f(x) fonksiyonun grafiği aşağıda verilmiştir. Grafiğe göre
integralinin sonucu aşağıdakilerden hangisidir?
|
2 |
|
4 |
|
6 |
|
8 |
|
10 |
İntegralin Temel Teoremi kullanılırsa
olur.
6.Soru
|
|
|
|
|
|
|
|
|
|
7.Soru
|
V. Bölge |
|
IV. Bölge |
|
III. Bölge |
|
II. Bölge |
|
I. Bölge |
Eşitsizlikler grafikte gösterilirse ortak çözüm bölgesi kırmızı renk ile çevrelelen I bölgedir.
8.Soru
Üstten y=x3-1 eğrisi alttan x-ekseni ve yanlardan x=1 ve x=3 doğrularıyla sınırlı bölgenin alanı kaç br2 ’dir?
|
17 |
|
18 |
|
19 |
|
20 |
|
21 |
Alanı istenilen bölgeyi A ile gösterelim.
9.Soru
Aşağıdaki tabloda 2014 yılına ait Türkiye İstatistik Kurumu (TÜİK) tarafından yayımlan Türkiye’deki gelir dağılımı verilmiştir. Bu verilere göre Lorenz eğrisinin grafiği yaklaşık olarak aşağıdakilerden hangisidir?
|
|
|
|
|
|
|
|
|
|
Tabloda verilenlere göre Lorenz eğrisinin geçtiği altı noktanın görüntüsü
şeklindedir. Bu noktaları aşağıdaki şekilde bir eğriyle birleştirerek Lorenz eğrisi bulunur.
10.Soru
f(x)=1/x fonksiyonunun [e, e2] aralığı üzerindeki ortalama değeri aşağıdakilerden hangisidir?
|
1/e |
|
1/(e-1) |
|
|
|
|
|
|
[a,b] aralığında sürekli bir f fonksiyonunun ortalama değeri
olarak hesaplanır. Buna göre f(x)=1/x fonksiyonunun [e,e²] aralığı üzerindeki ortalama değeri
olur.
12.Soru
f(x)=x2-2x+1 fonksiyonu ile g(x)=1-x fonksiyonlarının [0,1] aralığı üzerindeki grafik parçaları arasında kalan alan aşağıdakilerden hangisidir?
|
1/6 |
|
1/2 |
|
1/3 |
|
2/5 |
|
3/4 |
1/6
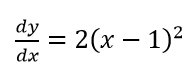
13.Soru
diferansiyel denkleminin y(0)=2 koşuluna uyan çözümü aşağıdakilerden hangisidir?
|
|
|
|
|
|
|
|
|
|
ve buradan
y(0)=1 koşulundan c=1 ve böylece diferansiyel denklemin y(0)=1 koşuluna uyan çözümü
olarak bulunur.
14.Soru
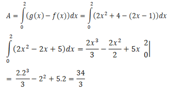
f(x)=2x-1 ve g(x)=2x2+4 fonksiyonlarının [0,2] aralığı üzerindeki grafik parçalarının arasındaki bölgenin alanı aşağıdakilerden hangisidir?
|
17/3 |
|
34/3 |
|
16/3 |
|
16/6 |
|
0 |
[0,2] aralığındaki tüm x’ler için
olduğundan bu eğrilerle sınırlı alan,
olur.
15.Soru
Ormanlık bir bölgede orman yangını başlamış ve bir saatin sonunda yayılma hızı saatte 20 hektara, ikinci saatin sonunda 60 hektara ve üçüncü saatin sonunda 75 hektara çıktığı ve daha sonra yangının söndüğü belirlenmiştir. Buna göre yangından zarar gören alan aşağıdakilerden hangisidir?
|
125
|
|
140
|
|
100
|
|
155
|
|
165
|
16.Soru
eşitsizliğinin çözüm kümesi aşağıdakilerden hangisidir?
|
|
|
|
|
|
|
|
|
|
3x+2y=6 doğrusunun eksenleri kestiği noktalar: x=0 için y=3 yani (0,3) noktası ve y=0 için x=2 yani (2,0)
noktası elde edilir. (0,0) noktası için 3.0+2.0=0<6, yani verilen eşitsizlik sağlanır. (0,0) noktasının bulunduğu taraftaki tüm noktalar eşitsizliği sağlar.
17.Soru
f, [2,5] aralığında sürekli bir fonksiyon ve F, f fonksiyonunun bir ilkeli ise aşağıdakilerden hangisi yanlıştır?
|
|
|
|
|
|
|
|
|
|
f, [a,b] aralığında sürekli bir fonksiyon,
olmak üzere integral kuralları gereği
olur. İntegralin temel teoremi gereği
18.Soru
Bir firma yeni bir TV piyasa sürmek istemektedir. Bu amaçla televizyon kanallarına reklam vermişlerdir. Reklam yayımlanmaya başladıktan sonra reklamı gören kişi sayısının, henüz reklamı görmemiş olan kişi sayısıyla orantılı olarak degiştiği düşünülmektedir. Bu reklamların ulaşabileceği maksimum kişi sayısının 135000 olduğu araştırmalarla ortaya çıkmıştır. Orantı sabitinin 0,06 olduğu bilindiğine göre 24 saat sonra reklamdan haberdar olan kişi sayısı yaklaşı olarak kaçtır?
|
125020
|
|
105624
|
|
103015
|
|
135410
|
|
126785
|
19.Soru
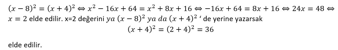
x miktarı ve p fiyatı göstermek üzere, bir malın talep fonksiyonu p1 =(x-3)^2 , arz fonksiyonu p2 =(x+1)^2 ise piyasa fiyatı nedir?
|
1
|
|
2
|
|
3
|
|
4
|
|
5
|
20.Soru
|
|
|
|
|
|
|
|
|
|
değişken değiştirmesi yapılarak du=2xdx bulunur. Böylece
-
- 1.SORU ÇÖZÜLMEDİ
- 2.SORU ÇÖZÜLMEDİ
- 3.SORU ÇÖZÜLMEDİ
- 4.SORU ÇÖZÜLMEDİ
- 5.SORU ÇÖZÜLMEDİ
- 6.SORU ÇÖZÜLMEDİ
- 7.SORU ÇÖZÜLMEDİ
- 8.SORU ÇÖZÜLMEDİ
- 9.SORU ÇÖZÜLMEDİ
- 10.SORU ÇÖZÜLMEDİ
- 11.SORU ÇÖZÜLMEDİ
- 12.SORU ÇÖZÜLMEDİ
- 13.SORU ÇÖZÜLMEDİ
- 14.SORU ÇÖZÜLMEDİ
- 15.SORU ÇÖZÜLMEDİ
- 16.SORU ÇÖZÜLMEDİ
- 17.SORU ÇÖZÜLMEDİ
- 18.SORU ÇÖZÜLMEDİ
- 19.SORU ÇÖZÜLMEDİ
- 20.SORU ÇÖZÜLMEDİ