Matematik 2 Deneme Sınavı Sorusu #456328
Alttan y=x2 parabolü, üstten y=x doğrusu ile sınırlı bölgenin alanı kaç br²’dir?
|
1/6 |
|
1/5 |
|
1/4 |
|
1/3 |
|
1/2 |
Yanıt Açıklaması:
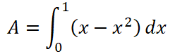
Alanı hesaplamak için önce bölgenin sınırlarını belirlemek gereklidir. y=x2 parabolü ile y=x doğrusunun kesiştiği noktalar x=0 ve x=1’dir. Bölge y=x2 parabolü ile alttan ve y=x doğrusu ile üstten sınırlı olduğu için alanı veren integral,
olur.
Yorumlar
- 0 Yorum