Matematik 2 Ara 4. Deneme Sınavı
Toplam 19 Soru1.Soru
|
|
|
|
|
|
|
|
|
|
(0,0) noktası verilen ilk iki eşitsizliğin her ikisini de sağlamadığından aranan bölge C şıkkında verilen şekildeki gibidir.
2.Soru
Aşağıdaki noktalardan hangisi x -y ? 3 ve x + y ? 2 eşitsizliklerinin ikisini birden sağlar?
|
(2,-2) |
|
(3,-1) |
|
(1,0) |
|
(0,0) |
|
(2,1) |
(2,1) noktası her iki eşitsizliğide sağlar.
4.Soru
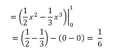
Alttan y=x2 parabolü, üstten y=x doğrusu ile sınırlı bölgenin alanı kaç br²’dir?
|
1/6 |
|
1/5 |
|
1/4 |
|
1/3 |
|
1/2 |
Alanı hesaplamak için önce bölgenin sınırlarını belirlemek gereklidir. y=x2 parabolü ile y=x doğrusunun kesiştiği noktalar x=0 ve x=1’dir. Bölge y=x2 parabolü ile alttan ve y=x doğrusu ile üstten sınırlı olduğu için alanı veren integral,
olur.
5.Soru
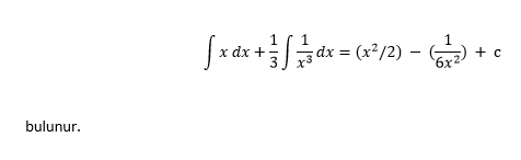
integralinin değeri aşağıdakilerden hangisidir?
|
1/12 |
|
1/3 |
|
3/4 |
|
1/4 |
|
2/3 |
olur.
6.Soru
|
|
|
|
|
|
|
|
|
|
7.Soru
diferansiyel denkleminin için başlangıç değerine sahip çözümü aşağıdakilerden hangisidir?
|
|
|
|
|
|
|
|
|
|
denkleminden
bulunur. x=1 için y=1 başlangıç değer koşulundan 1=1/5 +c denklemine ulaşılır ve buradan c=4/5 bulunur. Diferansiyel denkleminin x=1 için y=1 başlangıç değerine sahip çözümü
bulunur.
10.Soru
Aşağıdaki mal gruplarından hangisi bağımsız (ilişkisiz) mallara örnek olabilir?
|
Süt – Süt tozu |
|
CD - Kaset |
|
Masa - Sandalye |
|
Perde - Sigara |
|
Çay - Kahve |
Bağımsız (ilişkisiz) mallar: Çapraz esneklik analizine göre tamamlayıcılık ve ikame durumunu içermeyen mallardır.
11.Soru
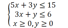
f(x,y)=4x+4y amaç fonksiyonunun,
eşitsizliği ile verilen küme üzerindeki maksimum değeri nedir?
|
2 |
|
4 |
|
8 |
|
18 |
|
20 |
5x+3y=15 ve 3x+y=6 denklem sistemi çözüldüğünde 5x+3y=15 ve 3x+y=6 doğrularının (3/4,15/4) noktasında kesiştikleri görülür. Çokgen bölgenin köşe noktaları: (0,0), (2,0), (0,5) ve (3/4,15/4) dir. Amaç fonksiyonunun bu noktalardaki değerleri: f(0,0)=0, f(2,0)=8, f(0,5)=20 ve f(3/4,15/4)=18 olur. Bu fonksiyon değerlerinin en büyüğü 18 olduğuna göre amaç fonksiyonunun bu çokgen bölge üzerindeki maksimum değeri 18 olur.
12.Soru
3x+2y=24 doğrusunun eksenleri kestiği noktalar aşağıdakilerden hangisidir?
|
(6, 0) ve (0, 8)
|
|
(8, 0) ve (0, 12)
|
|
(-6, 0) ve (0, 4)
|
|
(6,0) ve (0, -4)
|
|
(4, 0) ve (0, 6)
|
14.Soru
Bir malın talep fonksiyonu y=210-10x arz fonksiyonu da y=30x-70 olarak verilmiştir. Buna göre piyasa arzı 40 birim artarsa denge fiyatı ne kadar olur?
|
5 |
|
6 |
|
7 |
|
8 |
|
9 |
Arz ve talebin eşit olduğu noktadaki fiyat piyasa fiyatı olduğuna göre
210-10x=30x-70
40x=280
x=7
olması durumunda denge sağlanmaktadır. Ancak piyasa arzı 40 birim artarsa denge fiyatını bulmak için arz fonksiyonuna 40 ekleyip yeni denge noktasını bulmamız gerekecektir.
210-10x=30x-70+40
40x=240
x=6
Yeni denge fiyatımızı 6 olacaktır.
15.Soru
eşitsizliklerinin çözüm kümesinde olan nokta aşağıdakilerden hangisidir?
|
(1,4) |
|
(2,-1) |
|
(-1,1) |
|
(-2,1) |
|
(3,2) |
(1,4) noktası 5.1-4=1<5, 1-4=-3<0 ve 1>0 ve 4>0 olduğundan eşitsizliklerin hepsini sağlar.
16.Soru
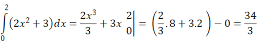
integralinin sonucu aşağıdakilerden hangisidir?
|
0 |
|
17/3 |
|
34/3 |
|
8 |
|
16 |
17.Soru
K, nüfus değişim oranı ve y0, başlangıç değeri olmak üzere zamana göre nüfus değişimini veren diferansiyel denklem ve çözümü hangisidir?
|
|
|
|
|
|
|
|
|
|
Zamana göre nüfus değişimini veren diferansiyel denklem
denklemidir ve başlangıç değeri y0 olan bu diferansiyel denklemin çözümü
19.Soru
Belirli bir zaman aralığında piyasada üreticilerin, değişik fiyat düzeyinde satmaya istekli oldukları mal veya hizmet miktarına ne denir?
|
Talep
|
|
Arz
|
|
Tüketici rantı
|
|
Üretici rantı
|
|
Piyasa fiyatı
|
-
- 1.SORU ÇÖZÜLMEDİ
- 2.SORU ÇÖZÜLMEDİ
- 3.SORU ÇÖZÜLMEDİ
- 4.SORU ÇÖZÜLMEDİ
- 5.SORU ÇÖZÜLMEDİ
- 6.SORU ÇÖZÜLMEDİ
- 7.SORU ÇÖZÜLMEDİ
- 8.SORU ÇÖZÜLMEDİ
- 9.SORU ÇÖZÜLMEDİ
- 10.SORU ÇÖZÜLMEDİ
- 11.SORU ÇÖZÜLMEDİ
- 12.SORU ÇÖZÜLMEDİ
- 13.SORU ÇÖZÜLMEDİ
- 14.SORU ÇÖZÜLMEDİ
- 15.SORU ÇÖZÜLMEDİ
- 16.SORU ÇÖZÜLMEDİ
- 17.SORU ÇÖZÜLMEDİ
- 18.SORU ÇÖZÜLMEDİ
- 19.SORU ÇÖZÜLMEDİ