aof.sorular.net
Matematik 2
Matematik 2 Deneme Sınavı
Matematik 2 Deneme Sınavı Sorusu #456330
Matematik 2 Deneme Sınavı Sorusu #456330
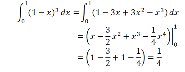
integralinin değeri aşağıdakilerden hangisidir?
A
1/12
B
1/3
C
3/4
D
1/4
E
2/3
Yanıt Açıklaması:
olur.
Yorumlar
0 Yorum
Alt Bilgi
© 2019
sorular.net
Bilgi
IOS Uygulamamız Güncellendi!
İndir
Geri