aof.sorular.net
Matematik 2
Matematik 2 Deneme Sınavı
Matematik 2 Deneme Sınavı Sorusu #1105940
Matematik 2 Deneme Sınavı Sorusu #1105940
A
B
C
D
E
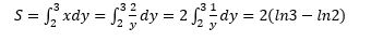
Yanıt Açıklaması:
elde edilir.
Yorumlar
0 Yorum
Alt Bilgi
© 2019
sorular.net
Bilgi
IOS Uygulamamız Güncellendi!
İndir
Geri