Matematik 2 Ara 5. Deneme Sınavı
Toplam 17 Soru2.Soru
Aşağıdaki noktalardan hangisi
eşitsizliğini sağlar?
|
(5,3) |
|
(4,6) |
|
(9,0) |
|
(7,2) |
|
(6,2) |
(6,2) noktası için
olduğundan eşitsizlik sağlanır.
3.Soru
(1,2) noktası aşağıdaki eşitsizliklerden hangisinin çözüm kümesinin bir elemanı değildir?
|
3x+y>=3
|
|
x+2y>=4
|
|
x+2y>=0
|
|
x+y>=0
|
|
x+y>=4
|
6.Soru
diferansiyel denkleminin genel çözümü aşağıdakilerden hangisidir?
|
|
|
|
|
|
|
|
|
|
ise
ve buradan
bulunur.
7.Soru
x>-3 olmak üzere
integralinin sonucu aşağıdakilerden hangisidir?
|
|
|
|
|
|
|
|
|
|
x+3=u denilirse dx=du olur. Bu durumda
olur.
8.Soru
(4,1) noktası aşağıdaki eşitsizliklerden hangisinin bir çözümüdür?
|
2x+y<=-4
|
|
2x+y<=4
|
|
x+2y<= 4
|
|
x+2y>= 4
|
|
x+y<=4
|
9.Soru
Aşağıdaki durumlardan hangisinde gelirin göreceli olarak daha iyi dağıldığı söylenebilir?
|
Gini indeksi sıfırdan küçükse
|
|
Gini indeksi sıfıra yakınsa
|
|
Gini indeksi 1/2 ise
|
|
Gini indeksi bire yakınsa
|
|
Gini indeksi birden fazlaysa
|
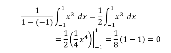
11.Soru
aralığı üzerindeki ortalama değeri aşağıdakilerden hangisidir?
|
|
|
|
|
|
|
|
|
|
[a,b] aralığında sürekli bir f fonksiyonunun ortalama değeri
olarak hesaplanır. Buna göre
olur.
12.Soru
aralığı üzerindeki ortalama değeri aşağıdakilerden hangisidir?
|
2 |
|
1 |
|
0 |
|
-1 |
|
-2 |
[a,b] aralığında sürekli bir f fonksiyonunun ortalama değeri
olarak hesaplanır. Buna göre
olur.
13.Soru
Aşağıdaki noktalardan hangisi 4x+3y ? 40, x + y ? 12, x ? 0 ve y ? 0 eşitsizliklerinin hepsini sağlar?
|
(11,-1)
|
|
(14,-1)
|
|
(5,9)
|
|
(8,1)
|
|
(5,1)
|
14.Soru
x miktarı ve p fiyatı göstermek üzere bir malın talep fonksiyonu p=10-2x şeklinde verilmiştir. Buna göre p=4 fiyatındaki tüketici rantı kaçtır?
|
18
|
|
12
|
|
9
|
|
5
|
|
1
|
15.Soru
x miktarı ve p fiyatı göstermek üzere bir malın talep fonksiyonu p=10-2x/(1+x) şeklinde verilmiştir. Buna göre p=9 fiyatındaki tüketici rantı kaçtır?
|
0.36
|
|
0.5
|
|
0.25
|
|
1
|
|
2
|
16.Soru
x miktarı p fiyatı göstermek üzere bir malın talep fonksiyonu şeklinde verilmiştir. Buna göre
şeklinde verilmiştir. Buna göre
fiyatındaki tüketici rantı kaçtır?
|
120 |
|
144 |
|
168 |
|
226 |
|
240 |
değeri talep fonksiyonunda yerine
yazılırsa eşitliğinden
bulunur. Buradan x=6 veya x=-6 elde edilir. Talep miktarı negatif olamayacağından x=6 olur. Bu değer
şeklinde gösterilirse buradan tüketici rantı
elde edilir.
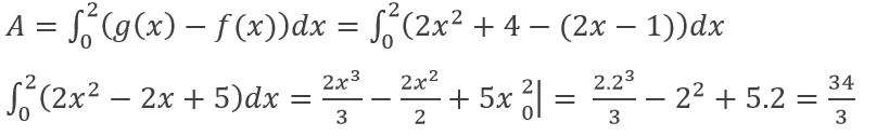
17.Soru
fonksiyonlarının [0,2] aralığı üzerindeki grafik parçalarının arasındaki bölgenin alanı aşağıdakilerden hangisidir?
|
17/3 |
|
34/3 |
|
16/3 |
|
16/6 |
|
0 |
[0,2] aralığındaki tüm x’ler için
olduğundan bu eğrilerle sınırlı alan,