Matematik 2 Deneme Sınavı Sorusu #444663
Bir malın talep fiyat esnekliği 1/4 olarak verildiğine göre bu malın miktarı ve fiyatı arasındaki ilişkiyi veren talep denklemi aşağıdakilerden hangisidir?
|
|
|
|
|
|
|
|
|
|
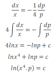
Yanıt Açıklaması:
Talep fonksiyonunun türevi negatif olduğundan
ifadesi,
şeklinde yazılabilir. Bu diferansiyel denklem değişkenlerine ayrılarak çözülürse
bulunur. Eşitliğin her iki tarafı tabanında yazılırsa
şeklinde olur.
Yorumlar
- 0 Yorum