Matematik 2 Ara 7. Deneme Sınavı
Toplam 18 Soru1.Soru
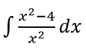
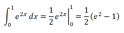
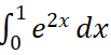
integralinin sonucu aşağıdakilerden hangisidir?
|
1/4 |
|
3/4 |
|
4 |
|
6 |
|
16 |
2.Soru
f (x, y) = 3x + 2y amaç fonksiyonunun 4x + 2y ? 12, 4x + 4y ?16, x ? 0 ve y ? 0 eşitsizliklerle verilen küme üzerindeki maksimum değeri aşağıdakilerden hangisidir?
|
9
|
|
10
|
|
8
|
|
12
|
|
16
|
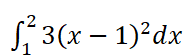
3.Soru
integralinin sonucu aşağıdakilerden hangisidir?
|
0 |
|
1 |
|
2 |
|
3 |
|
4 |
4.Soru
işleminin sonucu aşağıdakilerden hangisidir?
|
6 |
|
15 |
|
9 |
|
24 |
|
33 |
6
5.Soru
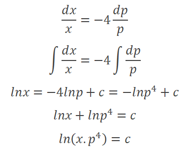
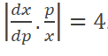
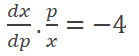
Bir malın talep fiyat esnekliği 1/4 olarak verildiğine göre bu malın miktarı ve fiyatı arasındaki ilişkiyi veren talep denklemi aşağıdakilerden hangisidir?
|
|
|
|
|
|
|
|
|
|
Talep fonksiyonunun türevi negatif olduğundan
ifadesi,
şeklinde yazılabilir. Bu diferansiyel denklem değişkenlerine ayrılarak çözülürse
bulunur. Eşitliğin her iki tarafı tabanında yazılırsa
şeklinde olur.
6.Soru
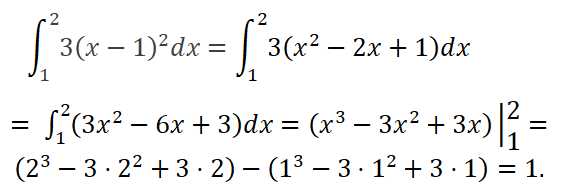
f(x)=x+1 fonksiyonunun [0,2] aralığındaki ortalama değeri aşağıdakilerden hangisidir?
|
2 |
|
4 |
|
6 |
|
8 |
|
10 |
f fonksiyonu [0,2] aralığında sürekli olduğunda, bu aralıktaki ortalama değeri,
olarak bulunur.
7.Soru
Bir maldan talep edilen miktarın başka bir maldan talep edilen malın fiyatındaki değişme oranına ne ad verilir?
|
Talebin nokta esnekliği |
|
Talebin gelir esnekliği |
|
Talebin çapraz esnekliği |
|
Talebin yay esnekliği |
|
Talebin fiyat esnekliği |
Bir maldan talep edilen miktarın başka bir maldan talep edilen malın fiyatındaki değişme oranına talebin çapraz esnekliği adı verilir.
8.Soru
integralinin değeri aşağıdakilerden hangisidir?
|
|
|
|
|
0 |
|
|
|
|
9.Soru
Bir malın talep fiyat esnekliği 4 olarak verildiğine göre bu malın miktarı ve fiyatı arasındaki ilişkiyi veren talep denklemi aşağıdakilerden hangisidir?
|
|
|
|
|
|
|
|
|
|
Talep fonksiyonunun türevi negatif olduğundan
ifadesi,
şeklinde yazılabilir. Bu diferansiyel denklem değişkenlerine ayrılıp çözülürse
bulunur. Eşitliğin her iki tarafı tabanında yazılırsa
şeklinde olur.
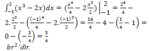
10.Soru
integralinin sonucu aşağıdakilerden hangisidir?
|
|
|
|
|
|
|
|
|
|
11.Soru
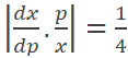
Bir malın talep fiyat esnekliği 2/3 olarak verildiğine göre bu malın miktarı ve fiyatı arasındaki ilişkiyi veren talep denklemi aşağıdakilerden hangisidir?
|
|
|
|
|
|
|
|
|
|
Talep fonksiyonunun türevi negatif olduğundan
ifadesini
şeklinde yazabiliriz. Elde ettiğimiz bu diferansiyel denklemi düzenlersek,
eşitliğinden her iki tarafın integrali alınırsa,
olur. Buradan,
olup logaritma fonksiyonunun toplama özelliğinden
Son eşitlikte her iki tarafı tabanında yazarsak,
sonucuna ulaşılır.
16.Soru
|
(-1,-1) |
|
(2,3) |
|
(0,0) |
|
(1/4,0) |
|
(0,1) |
17.Soru
Belirli bir zaman aralığında piyasada üreticilerin, değişik fiyat düzeyinde satmaya istekli oldukları mal ve hizmet miktarına ne ad verilir?
|
Talep
|
|
Arz
|
|
Toplam Fayda
|
|
Talebin Fiyat Esnekliği
|
|
Arz Fazlası
|
-
- 1.SORU ÇÖZÜLMEDİ
- 2.SORU ÇÖZÜLMEDİ
- 3.SORU ÇÖZÜLMEDİ
- 4.SORU ÇÖZÜLMEDİ
- 5.SORU ÇÖZÜLMEDİ
- 6.SORU ÇÖZÜLMEDİ
- 7.SORU ÇÖZÜLMEDİ
- 8.SORU ÇÖZÜLMEDİ
- 9.SORU ÇÖZÜLMEDİ
- 10.SORU ÇÖZÜLMEDİ
- 11.SORU ÇÖZÜLMEDİ
- 12.SORU ÇÖZÜLMEDİ
- 13.SORU ÇÖZÜLMEDİ
- 14.SORU ÇÖZÜLMEDİ
- 15.SORU ÇÖZÜLMEDİ
- 16.SORU ÇÖZÜLMEDİ
- 17.SORU ÇÖZÜLMEDİ
- 18.SORU ÇÖZÜLMEDİ