Matematik 2 Deneme Sınavı Sorusu #455003

f(x)=x+1 fonksiyonunun [0,2] aralığındaki ortalama değeri aşağıdakilerden hangisidir?


2

4

6

8

10


Yanıt Açıklaması:

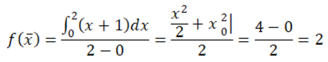
f fonksiyonu [0,2] aralığında sürekli olduğunda, bu aralıktaki ortalama değeri,

olarak bulunur.

Yorumlar
  • 0 Yorum