Matematik 2 Deneme Sınavı Sorusu #456221

y=f(x)  fonksiyonun grafiği aşağıda verilmiştir. Buna göre

 integralinin sonucu aşağıdakilerden hangisidir?

 


-3/2

15/2

-9/2

3

3/2


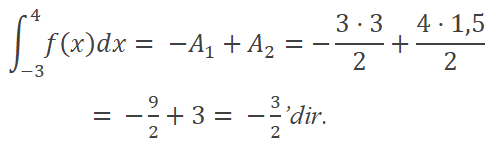
Yanıt Açıklaması:

Yorumlar
  • 0 Yorum